Для студентов МГТУ им. Н.Э.Баумана по предмету Линейная алгебра и аналитическая геометрияКривые второго порядкаКривые второго порядка
4,92523617
2023-01-142025-05-20СтудИзба
ДЗ 2.1: Кривые второго порядка вариант 17
-51%
Описание
- В задачах 1-4,6 определите тип кривой по заданному уравнению, приведите к каноническому виду и постройте кривую, найдите координаты фокусов. Для эллипса и гиперболы определите эксцентриситет, составьте уравнения асимптот для гиперболы; для параболы найдите значение параметра, составьте уравнение директрисы.
- В задаче 5 приведите уравнение к каноническому виду и постройте кривую.
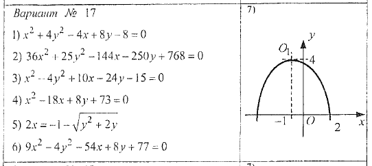
- В задаче 7 составьте уравнение кривой по заданному чертежу.

Характеристики домашнего задания
Учебное заведение
Семестр
Номер задания
Вариант
Просмотров
7
Качество
Скан рукописных листов
Размер
8,42 Mb
Список файлов
Кривые второго порядка.pdf

Вам все понравилось? Получите кэшбэк - 40 рублей на Ваш счёт при покупке. Поставьте оценку и напишите положительный комментарий к купленному файлу. После Вы получите деньги на ваш счет.