Для студентов МГТУ им. Н.Э.Баумана по предмету Линейная алгебра и аналитическая геометрияКривые второго порядкаКривые второго порядка
5,0056
2023-01-012025-05-08СтудИзба
ДЗ 2.1: Кривые второго порядка вариант 7
-43%
Описание
Зачтенный типовой расчет по аналитической геометрии №2 "Кривые второго порядка"
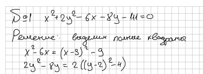
Задача 1:
Задача 2:
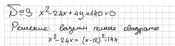
Задача 3:
Задача 4:
Задача 5:
Задача 6:
Показать/скрыть дополнительное описание
Задача 1:

Задача 2:

Задача 3:

Задача 4:


Задача 6:

Типовой расчет по аналитической геометрии.
Характеристики домашнего задания
Учебное заведение
Семестр
Номер задания
Вариант
Просмотров
72
Качество
Идеальное компьютерное
Размер
4,42 Mb
Список файлов
Вариант 7 Кривые 55.pdf

Спасибо за покупку! Я буду очень рад, если поставишь справедливую оценку купленному файлу :3 Ищи больше работ в моём профиле, там много нужного тебе!