Для студентов МГТУ им. Н.Э.Баумана по предмету Линейная алгебра и аналитическая геометрияВекторная алгебра и аналитическая геометрияВекторная алгебра и аналитическая геометрия
5,0051
2021-12-062025-04-30СтудИзба
ДЗ 1: Векторная алгебра и аналитическая геометрия вариант 7
-43%
Описание
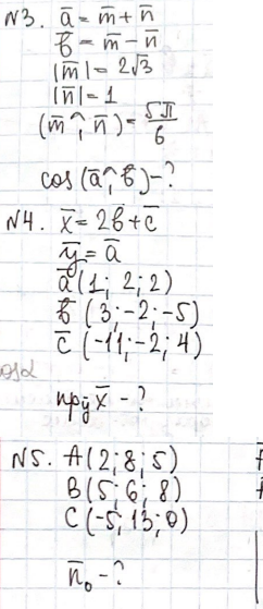
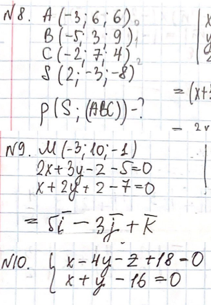
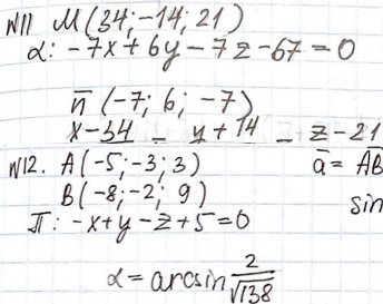
Зачтенный типовой расчет по аналитической геометрии №1, 12 заданий
![]()





Характеристики домашнего задания
Учебное заведение
Семестр
Номер задания
Вариант
Теги
Просмотров
32
Качество
Скан рукописных листов
Размер
2,28 Mb
Список файлов
Вариант 7 Дз1 2323455.pdf

Спасибо за покупку! Я буду очень рад, если поставишь справедливую оценку купленному файлу :3 Ищи больше работ в моём профиле, там много нужного тебе!