Для студентов МГТУ им. Н.Э.Баумана по предмету Линейная алгебра и аналитическая геометрияВекторная алгебра и аналитическая геометрияВекторная алгебра и аналитическая геометрия
5,0052
2021-05-212025-04-30СтудИзба
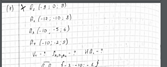
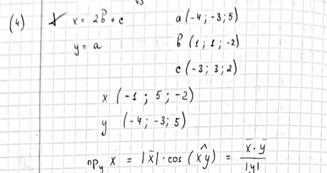
ДЗ 1: Векторная алгебра и аналитическая геометрия вариант 6
-66%
Описание
Файлы условия, демо
Характеристики домашнего задания
Учебное заведение
Семестр
Номер задания
Вариант
Теги
Просмотров
300
Размер
2,78 Mb
Список файлов
Типовой расчет №1.pdf

Друзья, спасибо за доверие! Если вам понравилась работа – поставьте 5⭐ и напишите отзыв. Это поможет другим студентам, а мне даст силы делать ещё больше качественных материалов для вас 🔥