Для студентов МГТУ им. Н.Э.Баумана по предмету Линейная алгебра и аналитическая геометрияЛинейная алгебраЛинейная алгебра
5,00510
2020-03-032025-05-24СтудИзба
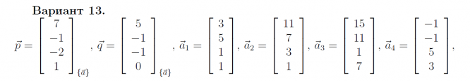
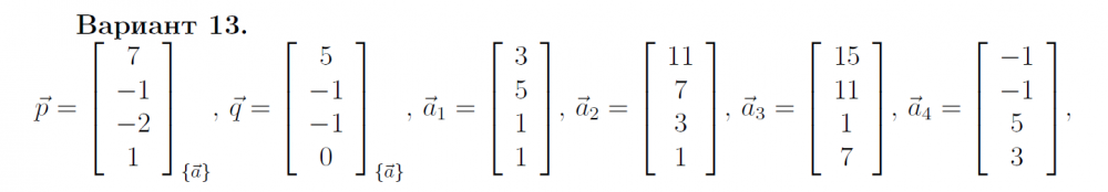
ДЗ 1.1: Линейная алгебра вариант 13
Описание
Характеристики домашнего задания
Учебное заведение
Семестр
Номер задания
Вариант
Просмотров
328
Качество
Фото рукописных листов
Размер
37,94 Mb
Список файлов
IMG_4718.jpg
IMG_4719.jpg
IMG_4720.jpg
IMG_4721.jpg
IMG_4722.jpg
IMG_4723.jpg
IMG_4724.jpg
IMG_4725.jpg
IMG_4727.jpg
IMG_4728.jpg
IMG_4729.jpg
IMG_4730.jpg
МГТУ им. Н.Э.Баумана
dolgota46



















