Для студентов МГТУ им. Н.Э.Баумана по предмету Кратные интегралы и рядыФункциональные рядыФункциональные ряды
4,7059
2021-02-222021-02-22СтудИзба
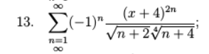
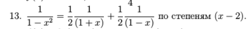
ДЗ 3.2: Функциональные ряды вариант 13
Описание
Характеристики домашнего задания
Предмет
Учебное заведение
Семестр
Номер задания
Вариант
Просмотров
79
Размер
2,24 Mb
Список файлов
КИ_ ТП и ряды_ ДЗ.3_ ч.2.pdf
Комментарии
Нет комментариев
Стань первым, кто что-нибудь напишет!

МГТУ им. Н.Э.Баумана



















