Ответы к экзамену: Линейная алгебра
-17%
Описание
🙋♂️🙋♂️🙋♂️ Коллекция ответов на 100 % Линейная алгебра итоговый , ВУЗ ПРОМЕТЕЙ.
👑👑👑 Огромная база ответов по множеству предметов.
♥️ В том числе есть услуга сдачи отдельных предметов и сессий в целом!!!!!!!!!!!!
♥️ Благодарю за покупку!
♥️ ОБРАЩАйТЕСЬ (Для быстрого поиска вопроса используйте Ctrl+F).
👑👑👑 Огромная база ответов по множеству предметов. ♥️ В том числе есть услуга сдачи отдельных предметов и сессий в целом!!!!!!!!!!!!
♥️ Благодарю за покупку!
♥️ ОБРАЩАйТЕСЬ (Для быстрого поиска вопроса используйте Ctrl+F).
Список вопросов
Определить вид кривой 2-го порядка X-Y+Y2=0
Определить вид кривой 2-го порядка X2+X+Y2=0
Решить систему уравнений x1+2x2+2x3+2x4=13, x1-x2-x3+2x4=1, 2x1+x3=0, 6x1-x2-x3-x4=0 методом Гаусса.
Решить систему уравнений 3x-y-z=1, x+y+z=3, 2x-y-z=0 с помощью обратной матрицы:
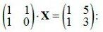
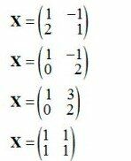
Решить матричное уравнение
![]()

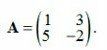
Найти определитель матрицы A=
![]()

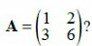
Существует ли обратная матрица у матрицы A= ![]()

Найти определитель матрицы A= ![]()

Линейный оператор φ:R3→R3 определен так: φ(xˉ)=aˉ*xˉ(aˉ=(1;2;3)). Каковы собственные числа?
Образуют ли базис в R3 вектора aˉ=(1;2;3), bˉ=(2;4;6), cˉ=(3;0;1)?
Может ли система линейных уравнений иметь ровно два различных решения?
Верно ли, что определитель матрицы с двумя одинаковыми столбцами равен 0?
Верно ли, что ранг матрицы - это всегда число строк в матрице?
Может ли линейный оператор иметь ровно два различных собственных вектора?
Векторное произведение векторов - это:
Если базис линейного пространства состоит из 3-х векторов, то размерность этого пространства равна:
Скалярное произведение векторов - это:
Лежат ли точки A(1;2;0), B(3;3;1), C(5;4;2) на одной прямой?
Дано: a-=(1;3;5), b-=(2;6;0). Являются ли данные вектора коллинеарными?
Написать уравнение прямой, проходящей через точку A(1;2;3) параллельно вектору a=(−2;3;0)
Характеристики ответов (шпаргалок) к экзамену

❓ Как копировать вопросы во время теста в Синергии?
Комментарии
Нет комментариев
Стань первым, кто что-нибудь напишет!
МФПУ «Синергия»
akop

















