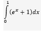
Лабораторная работа 3: Численные методы вычисления опредёленного интеграла вариант 2
Описание

Характеристики лабораторной работы
Предмет
Учебное заведение
Семестр
Номер задания
Вариант
Программы
Просмотров
1
Качество
Идеальное компьютерное
Размер
595,66 Kb
Список файлов
Lab3 MatLab.docx
Удачи в сдаче заданий и зачётов! Успехов!
Комментарии
Нет комментариев
Стань первым, кто что-нибудь напишет!
МГТУ им. Н.Э.Баумана
Author1

















