Для студентов МГТУ им. Н.Э.Баумана по предмету Кратные интегралы и рядыЧисловые рядыЧисловые ряды
5,0052
2023-12-032024-09-04СтудИзба
Вариант 13 - ДЗ №3 - "Числовые ряды" - 5 задач
ДЗ 3.1: Числовые ряды вариант 13
-43%
Описание
Типовой расчет №3 по математическому анализу, "Числовые ряды", зачтено
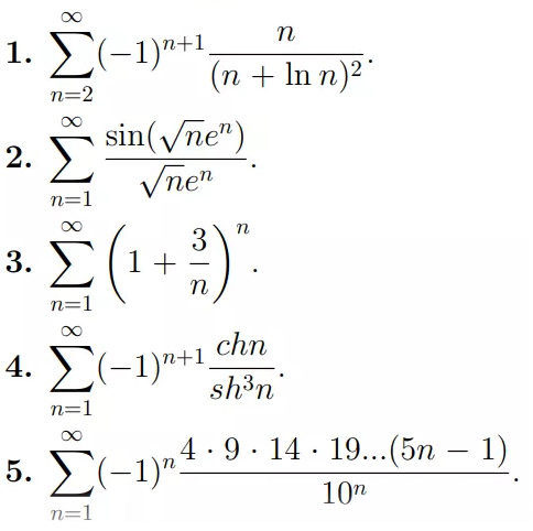
Условие:
Задача 1:
Задача 2:
Задача 3:
Задача 4:
Задача 5:
Показать/скрыть дополнительное описание
Условие:

Задача 1:





Домашнее задание по матан МГТУ 3 семестр типовик теория поля криволинейные кратные поверхностные интегралы.
Характеристики домашнего задания
Предмет
Учебное заведение
Семестр
Номер задания
Вариант
Просмотров
25
Качество
Фото рукописных листов
Размер
2,81 Mb
Список файлов
Вариант 13 Числовые ряды 461.pdf

Спасибо за покупку! Я буду очень рад, если поставишь справедливую оценку купленному файлу :3 Ищи больше работ в моём профиле, там много нужного тебе!