Для студентов МГТУ им. Н.Э.Баумана по предмету Кратные интегралы и рядыФункциональные рядыФункциональные ряды
4,97514568
2023-09-172024-09-04СтудИзба
Вариант 19 - ДЗ №3 - "Функциональные ряды" - 2 задачи
ДЗ 3.2: Функциональные ряды вариант 19
-43%
Описание
Типовой расчет №3 по математическому анализу, "Степенные ряды", зачтено
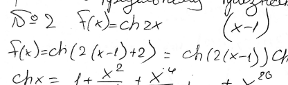
Задача 1:
Задача 2:
Задача 3:
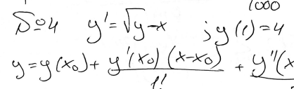
Задача 4:
Показать/скрыть дополнительное описание
Задача 1:

Задача 2:



Домашнее задание по матан МГТУ 3 семестр типовик теория поля криволинейные кратные поверхностные интегралы.
Характеристики домашнего задания
Предмет
Учебное заведение
Семестр
Номер задания
Вариант
Просмотров
20
Качество
Скан рукописных листов
Размер
1,26 Mb
Список файлов
Вариант 19 Ряды 457.pdf

Спасибо за покупку! Я буду очень рад, если поставишь справедливую оценку купленному файлу :3 Ищи больше работ в моём профиле, там много нужного тебе!