Для студентов МГТУ им. Н.Э.Баумана по предмету Кратные интегралы и рядыФункциональные рядыФункциональные ряды
5,0058
2023-08-282024-09-03СтудИзба
ДЗ 3.2: Функциональные ряды вариант 13
-66%
Описание
Вариант 13 - ДЗ №3.2 - Функциональные ряды
Зачтено на максимальный балл 💥 💥 💥
Спасибо за покупку 🥰🥰 🥰
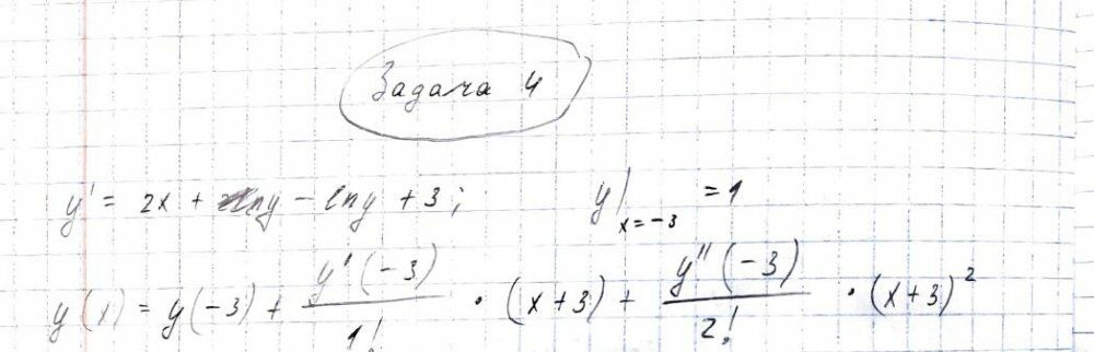
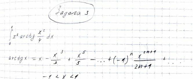
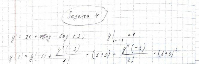
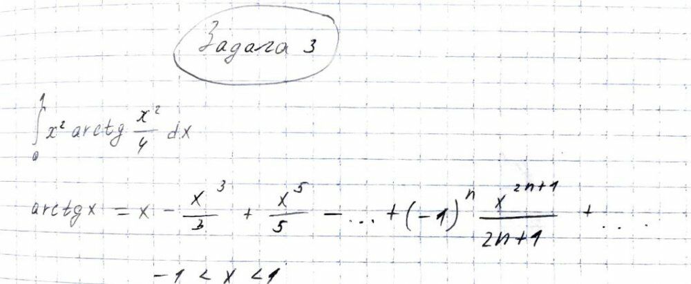
Пример решения:



Файлы условия, демо
Характеристики домашнего задания
Предмет
Учебное заведение
Семестр
Номер задания
Вариант
Просмотров
53
Размер
1,73 Mb
Список файлов
Вариант 13 - ДЗ №3 - Функциональные ряд.pdf

Друзья, спасибо за доверие! Если вам понравилась работа – поставьте 5⭐ и напишите отзыв. Это поможет другим студентам, а мне даст силы делать ещё больше качественных материалов для вас 🔥