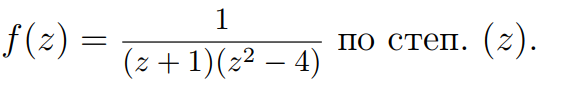
Для студентов МГТУ им. Н.Э.Баумана по предмету Кратные интегралы и рядыКратные интегралы, Ряды, Теория функций комплексного переменногоКратные интегралы, Ряды, Теория функций комплексного переменного
5,0051
2023-01-312024-10-05СтудИзба
ДЗ 2: Кратные интегралы, Ряды, Теория функций комплексного переменного вариант 24
-32%
Описание
При покупке Вы можете получить подарок 20 руб.
Зачтено на максимальный балл!!!
Не только копировать, а нужно понимать!
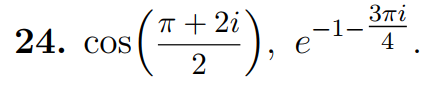
Задача 1: Вычислить указанные значения функций.




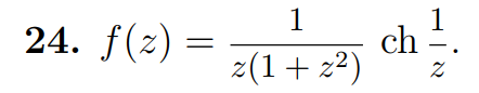
Задача 5: Найти все особые точки заданной функци , определить их характер и найти вычеты в них. Установить характер бесконечно удаленной точки и найти вычет в ней.








Характеристики домашнего задания
Предмет
Учебное заведение
Семестр
Номер задания
Вариант
Просмотров
57
Качество
Фото рукописных листов
Размер
10,59 Mb
Список файлов
1.jpg
2.jpg
3.jpg
4.jpg
5.jpg
6.jpg
7.jpg
8.jpg
9.jpg

Ваше удовлетворение является нашим приоритетом. Вставьте 5 звезд и позитивные комментарии сразу дам Вам подарок. Благодарю за использование моей службы!!