Для студентов МГТУ им. Н.Э.Баумана по предмету Кратные интегралы и рядыЧисловые рядыЧисловые ряды
5,005171
2022-12-012024-09-03СтудИзба
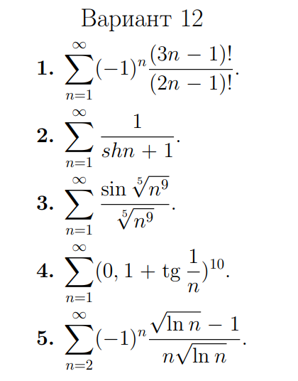
ДЗ 3.1: Числовые ряды вариант 12
-66%
Описание
Вариант 12 - ДЗ №3.1 - Числовые ряды
Зачтено на максимальный балл 💥 💥 💥
Спасибо за покупку 🥰🥰 🥰
Пример решения:


Характеристики домашнего задания
Предмет
Учебное заведение
Семестр
Номер задания
Вариант
Просмотров
148
Размер
3,31 Mb
Список файлов
Вариант 12 - ДЗ №3 - Числовые ряды.pdf

Друзья, спасибо за доверие! Если вам понравилась работа – поставьте 5⭐ и напишите отзыв. Это поможет другим студентам, а мне даст силы делать ещё больше качественных материалов для вас 🔥
Комментарии

Отзыв
приняли