Для студентов МГТУ им. Н.Э.Баумана по предмету Кратные интегралы и рядыКриволинейные и поверхностные интегралыКриволинейные и поверхностные интегралы
5,0059
2021-11-202024-09-04СтудИзба
Вариант 11 - Дз-2 "Криволинейные и поверхностные интегралы"
ДЗ 2: Криволинейные и поверхностные интегралы вариант 11
-43%
Описание
Типовой расчет по математическому анализу №2, 4 задачи: "Криволинейные и поверхностные интегралы", зачтено
Условие:
Задача 1:
Задача 2:
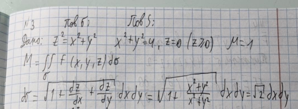
Задача 3:
Задача 4:
Показать/скрыть дополнительное описание
Условие:





Типовой расчет по математическому анализу МГТУ 3 семестр домашнее задание кратные криволинейные поверхностные интегралы теория поля ряды.
Характеристики домашнего задания
Предмет
Учебное заведение
Семестр
Номер задания
Вариант
Просмотров
110
Качество
Фото рукописных листов
Размер
1,55 Mb
Список файлов
Типарь 2.pdf
Исправления.pdf

Спасибо за покупку! Я буду очень рад, если поставишь справедливую оценку купленному файлу :3 Ищи больше работ в моём профиле, там много нужного тебе!