Для студентов МГТУ им. Н.Э.Баумана по предмету Кратные интегралы и рядыЧисловые рядыЧисловые ряды
5,0052
2020-12-142020-12-14СтудИзба
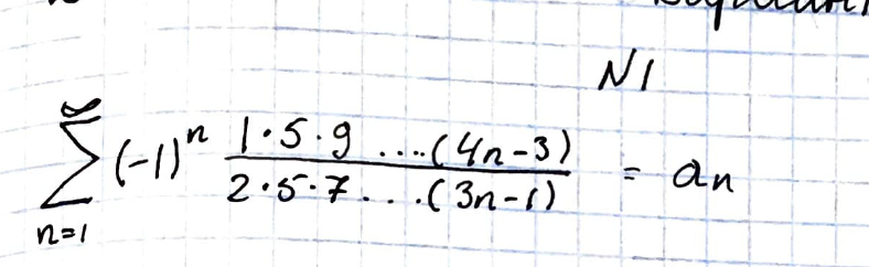
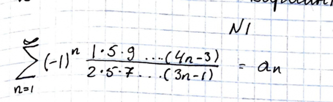
ДЗ 3.1: Числовые ряды вариант 3
Описание
Характеристики домашнего задания
Предмет
Учебное заведение
Семестр
Номер задания
Вариант
Просмотров
62
Размер
1,69 Mb
Список файлов
рядывар3 часть1 дз3.pdf
Время дороже пары сотен. Прошу поставить оценку после скачивания. Если где-то забыл добавить корректное описание - пишите, подскажу.
Комментарии
Нет комментариев
Стань первым, кто что-нибудь напишет!
МГТУ им. Н.Э.Баумана
studizba_fan_club


















