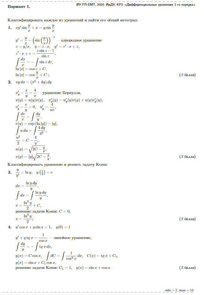
Для студентов МГТУ им. Н.Э.Баумана по предмету Интегралы и дифференциальные уравнения (ИиДУ)Дифференциальные уравнения 1-го порядкаДифференциальные уравнения 1-го порядка
4,13534
2020-05-072020-05-07СтудИзба
Ответы к контрольной работе 2: Дифференциальные уравнения 1-го порядка
Описание

Характеристики ответов (шпаргалок) к КР
Учебное заведение
Семестр
Номер задания
Теги
Просмотров
746
Качество
Идеальное компьютерное
Размер
438,1 Kb
Список файлов
ИиДУ КР 2_2020 билеты.pdf
Комментарии
Нет комментариев
Стань первым, кто что-нибудь напишет!
МГТУ им. Н.Э.Баумана
choco


















