Для студентов МГТУ им. Н.Э.Баумана по предмету Кратные интегралы и рядыЧисловые рядыЧисловые ряды
5,00511
2016-05-092024-09-10СтудИзба
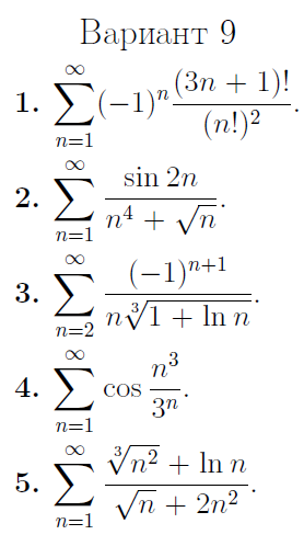
ДЗ 3.1: Числовые ряды вариант 9
-62%
Описание

Характеристики домашнего задания
Предмет
Учебное заведение
Семестр
Номер задания
Вариант
Просмотров
2784
Качество
Фото рукописных листов
Размер
3,08 Mb
Список файлов
Числовые ряды.pdf

Вам все понравилось? Получите кэшбэк - 40 рублей на Ваш счёт при покупке. Поставьте оценку и напишите положительный комментарий к купленному файлу. После Вы получите деньги на ваш счет.