Для студентов ИДДО НИУ «МЭИ» по предмету Компьютерные сетиСоставьте систему линейных уравнений для данной сети. Используя её, определите коэффициенты базовых интенсивностейСоставьте систему линейных уравнений для данной сети. Используя её, определите коэффициенты базовых интенсивностей
4,955183
2025-04-122025-04-12СтудИзба
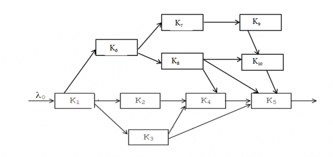
Составьте систему линейных уравнений для данной сети. Используя её, определите коэффициенты базовых интенсивностей
Задача КМ-5: Составьте систему линейных уравнений для данной сети. Используя её, определите коэффициенты базовых интенсивностей
Описание
N - 2 последняя цифра в зачётной книжке.
Если переход осуществляется из одного узла в несколько, то вероятность перехода в узел с наименьшим индексом равна 0,06N+ 0.12, а вероятности перехода в остальные узлы равны.
Составьте систему линейных уравнений для данной сети. Используя её, определите коэффициенты базовых интенсивностей. Вариант 2.
Показать/скрыть дополнительное описание
Если переход осуществляется из одного узла в несколько, то вероятность перехода в узел с наименьшим индексом равна 0,06N+ 0.12, а вероятности перехода в остальные узлы равны.
Составьте систему линейных уравнений для данной сети. Используя её, определите коэффициенты базовых интенсивностей. Вариант 2.
Составьте систему линейных уравнений для данной сети. Используя её, определите коэффициенты базовых интенсивностей.
Характеристики решённой задачи
Предмет
Учебное заведение
Номер задания
Вариант
Программы
Просмотров
1
Качество
Идеальное компьютерное
Размер
43,34 Kb
Список файлов
КС км5.docx
Алёна Руденко
Комментарии
Нет комментариев
Стань первым, кто что-нибудь напишет!
ИДДО НИУ «МЭИ»
alena.rudenko.88


















