Для студентов ИДДО НИУ «МЭИ» по предмету Компьютерные сетиСоставить систему линейных уравнений для данной сети. Используя её, определить коэффициенты базовых интенсивностейСоставить систему линейных уравнений для данной сети. Используя её, определить коэффициенты базовых интенсивностей
4,955169
2025-04-122025-04-12СтудИзба
Составить систему линейных уравнений для данной сети. Используя её, определить коэффициенты базовых интенсивностей
Задача КМ-5: Составить систему линейных уравнений для данной сети. Используя её, определить коэффициенты базовых интенсивностей
Описание
Условие задания:
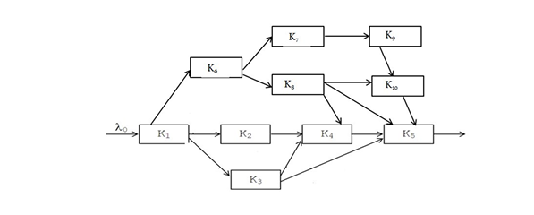
Составить систему линейных уравнений для данной сети. Используя её, определить коэффициенты базовых интенсивностей. Если переход осуществляется из одного узла в несколько, то вероятность перехода в узел с наименьшим индексом равна 0,06N + 0,12, а вероятности перехода в остальные узлы равны.
Вариант 7. Работа сдана на оценку 5.
Показать/скрыть дополнительное описание
Составить систему линейных уравнений для данной сети. Используя её, определить коэффициенты базовых интенсивностей. Если переход осуществляется из одного узла в несколько, то вероятность перехода в узел с наименьшим индексом равна 0,06N + 0,12, а вероятности перехода в остальные узлы равны.
Вариант 7. Работа сдана на оценку 5.

Составить систему линейных уравнений для данной сети. Используя её, определить коэффициенты базовых интенсивностей.
Характеристики решённой задачи
Предмет
Учебное заведение
Номер задания
Вариант
Программы
Просмотров
1
Качество
Идеальное компьютерное
Размер
215,49 Kb
Список файлов
КС КМ-5.pdf
Алёна Руденко