Для студентов МГТУ им. Н.Э.Баумана по предмету Интегралы и дифференциальные уравнения (ИиДУ)Дифференциальные уравненияДифференциальные уравнения
5,0052
2023-05-312023-05-31СтудИзба
Дифференциальные уравнения(максимальный балл)
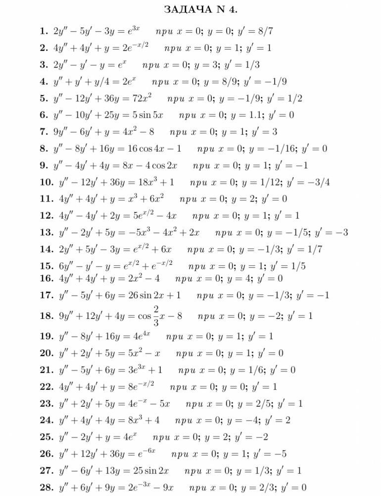
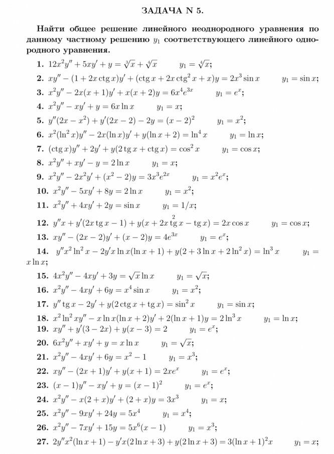
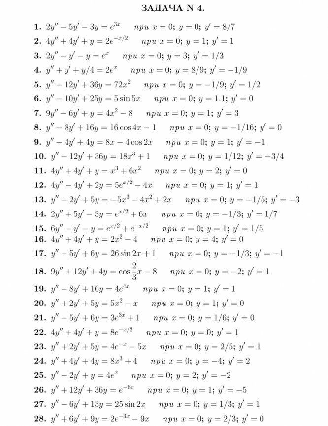
ДЗ 2: Дифференциальные уравнения вариант 13
Описание
Характеристики домашнего задания
Учебное заведение
Семестр
Номер задания
Вариант
Просмотров
43
Качество
Фото рукописных листов
Размер
8,5 Mb
Список файлов
IMG_8063.jpg
IMG_8064.jpg
IMG_8065.jpg
IMG_8066.jpg
IMG_8068.jpg
Комментарии
Нет комментариев
Стань первым, кто что-нибудь напишет!
МГТУ им. Н.Э.Баумана



















