Для студентов МГТУ им. Н.Э.Баумана по предмету Интегралы и дифференциальные уравнения (ИиДУ)Дифференциальные уравнения высших порядковДифференциальные уравнения высших порядков
5,0056
2023-05-072024-09-03СтудИзба
ДЗ 2: Дифференциальные уравнения высших порядков вариант 6
-66%
Описание
Вариант 6 - ДЗ №2 - Дифференциальные уравнения высших порядков - ИУ,РЛ,БМТ,ФН12 (нет задача 5)
Зачтено на максимальный балл 💥 💥 💥
Спасибо за покупку 🥰🥰
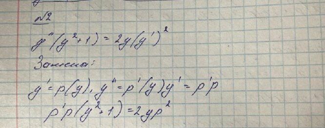
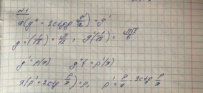
Задача 1

Задача 3

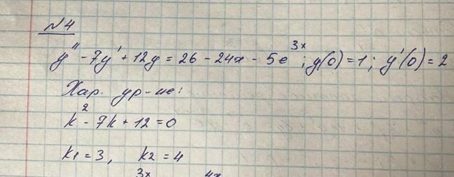
Задача 4

Характеристики домашнего задания
Учебное заведение
Семестр
Номер задания
Вариант
Просмотров
243
Размер
1,06 Mb
Список файлов
Вариант 6 - ДЗ №2 - Дифференциальные уравнения высших порядков - ИУ.docx

Друзья, спасибо за доверие! Если вам понравилась работа – поставьте 5⭐ и напишите отзыв. Это поможет другим студентам, а мне даст силы делать ещё больше качественных материалов для вас 🔥