Для студентов МГТУ им. Н.Э.Баумана по предмету Интегралы и дифференциальные уравнения (ИиДУ)Дифференциальные уравненияДифференциальные уравнения
4,88512
2023-01-292024-09-03СтудИзба
ДЗ 2: Дифференциальные уравнения вариант 26
-66%
Описание
2023г Вариант 26 - ДЗ №2 - Дифференциальные уравнения - ФН1
Зачтено на максимальный балл
Интегралы и дифференциальные уравнения (2-й семестр)

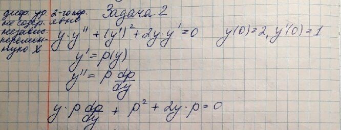
Задача 1






Файлы условия, демо
Характеристики домашнего задания
Учебное заведение
Семестр
Номер задания
Вариант
Просмотров
347
Размер
7,06 Mb
Список файлов
1.jpg
2.jpg
3.jpg
4.jpg
5.jpg
6.jpg
7.jpg
8.jpg
9.jpg
10.jpg
11.jpg
12.jpg
13.jpg
14.jpg
15.jpg
Screenshot 2023-01-29 211212.jpg

Друзья, спасибо за доверие! Если вам понравилась работа – поставьте 5⭐ и напишите отзыв. Это поможет другим студентам, а мне даст силы делать ещё больше качественных материалов для вас 🔥