Для студентов МГТУ им. Н.Э.Баумана по предмету Интегралы и дифференциальные уравнения (ИиДУ)Дифференциальные уравнения высших порядковДифференциальные уравнения высших порядков
5,00514
2023-01-292024-09-03СтудИзба
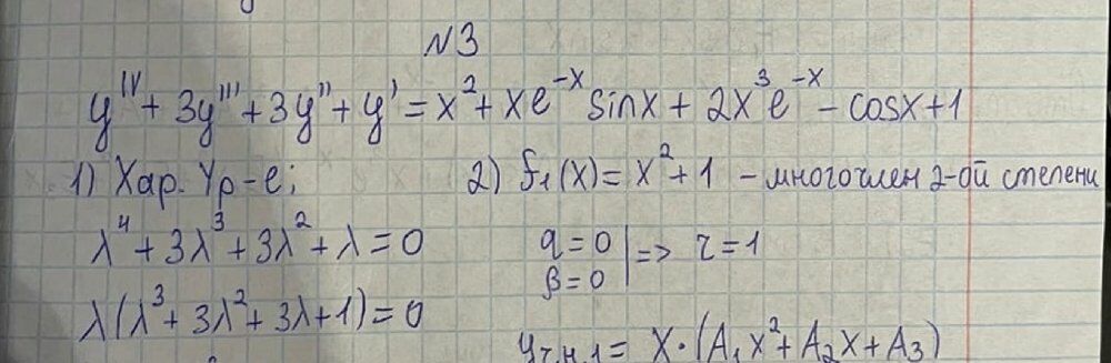
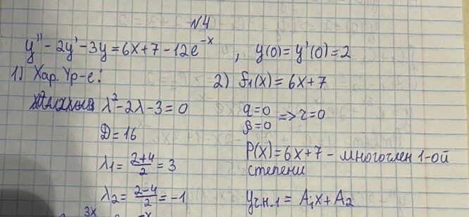
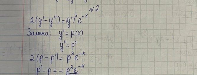
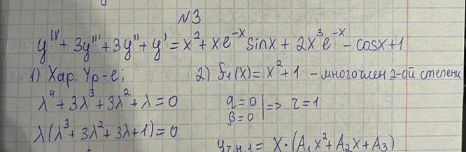
ДЗ 2: Дифференциальные уравнения высших порядков вариант 26
-66%
Описание
2023г Вариант 26 - ДЗ №2 - Дифференциальные уравнения- ИУ, РЛ, БМТ, ФН12
Зачтено на максимальный балл
Интегралы и дифференциальные уравнения (2-й семестр)






Файлы условия, демо
Характеристики домашнего задания
Учебное заведение
Семестр
Номер задания
Вариант
Просмотров
321
Размер
3,92 Mb
Список файлов
1.jpg
2.jpg
3.jpg
4.jpg
5.jpg
5.jpg
6.jpg
7.jpg
Screenshot 2023-01-29 210333.jpg

Друзья, спасибо за доверие! Если вам понравилась работа – поставьте 5⭐ и напишите отзыв. Это поможет другим студентам, а мне даст силы делать ещё больше качественных материалов для вас 🔥