Для студентов МГТУ им. Н.Э.Баумана по предмету Интегралы и дифференциальные уравнения (ИиДУ)Дифференциальные уравненияДифференциальные уравнения
5,0051
2022-05-182025-02-11СтудИзба
ДЗ 2: Дифференциальные уравнения вариант 12
-43%
Описание
Типовой расчет №2 по математическому анализу, "Дифференциальные уравнения", зачтено
Задача 1:
Задача 2:
Задача 3:
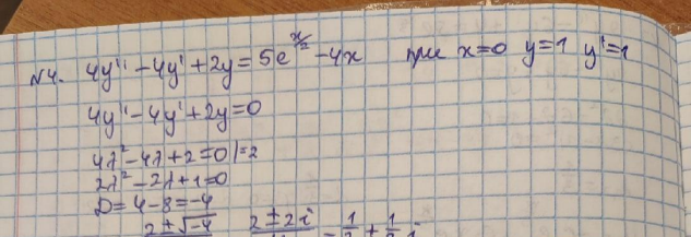
Задача 4:
Задача 5:
![]()
Задача 1:





Характеристики домашнего задания
Учебное заведение
Семестр
Номер задания
Вариант
Просмотров
39
Качество
Фото рукописных листов
Размер
2,7 Mb
Список файлов
Вариант 12 Диффуры 11.pdf

Спасибо за покупку! Я буду очень рад, если поставишь справедливую оценку купленному файлу :3 Ищи больше работ в моём профиле, там много нужного тебе!