Для студентов МГТУ им. Н.Э.Баумана по предмету Интегралы и дифференциальные уравнения (ИиДУ)Дифференциальные уравнения высших порядковДифференциальные уравнения высших порядков
4,97514427
2022-05-132025-02-11СтудИзба
ДЗ 2: Дифференциальные уравнения высших порядков вариант 2
-43%
Описание
Типовой расчет №2 по математическому анализу, "Дифференциальные уравнения", зачтено
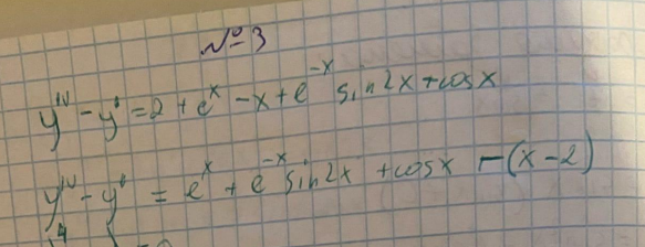
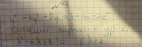
Условие:
Примеры решения:
![]()
Условие:






Характеристики домашнего задания
Учебное заведение
Семестр
Номер задания
Вариант
Просмотров
20
Качество
Фото рукописных листов
Размер
1,99 Mb
Список файлов
Вариант 2 Диффуры 4.pdf

Спасибо за покупку! Я буду очень рад, если поставишь справедливую оценку купленному файлу :3 Ищи больше работ в моём профиле, там много нужного тебе!