Для студентов МГТУ им. Н.Э.Баумана по предмету Интегралы и дифференциальные уравнения (ИиДУ)Дифференциальные уравненияДифференциальные уравнения
4,975441
2021-03-262024-09-03СтудИзба
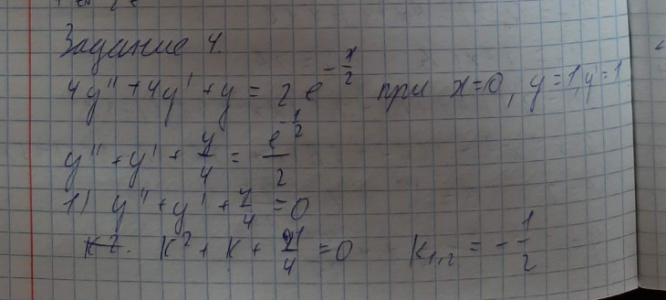
ДЗ 2: Дифференциальные уравнения вариант 2
Бестселлер
-66%
Описание
Зачтено на максимальный балл
2022г Вариант 2 - ДЗ №2 - Дифференциальные уравнения
![]()
Характеристики домашнего задания
Учебное заведение
Семестр
Номер задания
Вариант
Просмотров
932
Качество
Фото рукописных листов
Размер
1,61 Mb
Список файлов
ДЗ №2 вариант 2.pdf

Друзья, спасибо за доверие! Если вам понравилась работа – поставьте 5⭐ и напишите отзыв. Это поможет другим студентам, а мне даст силы делать ещё больше качественных материалов для вас 🔥
Комментарии

Отзыв
отлично