ДЗ 1: Определенный интеграл вариант 5
Описание
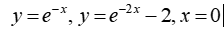
Задача 1. Вычислить площадь фигуры, которая расположена
на плоскости Oxy.![]()
Задача 2. Фигура, расположенная на плоскости Oxy, вращается около координатной оси. Вычислить объём полученного тела вращения.
![]()
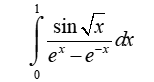
Задача 3. Вычислить площадь фигуры.
![]()
Задача 4. Вычислить длину дуги кривой.
![]()
Задача 5. Вычислить площадь поверхности, полученной при вращении заданных линий вокруг заданной оси.
![]()
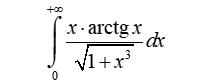
Задача 6. Исследовать несобственные интегралы на сходимость.![]()
Задача 7. Исследовать несобственные интегралы на сходимость.
![]()
Демо:
![]()
на плоскости Oxy.

Задача 2. Фигура, расположенная на плоскости Oxy, вращается около координатной оси. Вычислить объём полученного тела вращения.
Задача 3. Вычислить площадь фигуры.
Задача 4. Вычислить длину дуги кривой.

Задача 5. Вычислить площадь поверхности, полученной при вращении заданных линий вокруг заданной оси.
Задача 6. Исследовать несобственные интегралы на сходимость.

Задача 7. Исследовать несобственные интегралы на сходимость.

Демо:
Характеристики домашнего задания
Учебное заведение
Семестр
Номер задания
Вариант
Просмотров
45
Качество
Фото рукописных листов
Размер
686,64 Kb
Список файлов
ДЗ-1_Вар5.pdf
Комментарии
Нет комментариев
Стань первым, кто что-нибудь напишет!
МГТУ им. Н.Э.Баумана

















