Для студентов МГТУ им. Н.Э.Баумана по предмету Интегралы и дифференциальные уравнения (ИиДУ)Определенный интегралОпределенный интеграл
5,00520
2022-03-232025-04-23СтудИзба
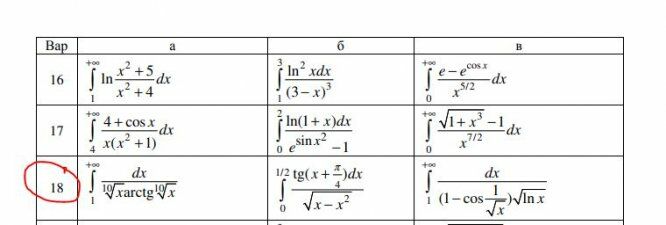
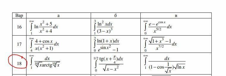
ДЗ 1: Определенный интеграл вариант 18
-66%
Описание
2023г Вариант 18 - ДЗ №1 - Определённый интеграл- ФН1🔥 ⚡ 🔥 ⚡ 🔥 ⚡
Интегралы и дифференциальные уравнения (2-й семестр)
Защищено на 10 из 10 возможных баллов







Файлы условия, демо
Характеристики домашнего задания
Учебное заведение
Семестр
Номер задания
Вариант
Программы
Просмотров
678
Качество
Идеальное компьютерное
Размер
362,78 Kb
Список файлов
Вариант18 Дз1-Difu-МТ-СМ.docx

Ваше удовлетворение является нашим приоритетом, если вы удовлетворены нами, пожалуйста, оставьте нам 5 ЗВЕЗД и позитивных комментариев. Спасибо большое!. Смотрите файлы в моем профиле, там есть много полезных !