Для студентов МГТУ им. Н.Э.Баумана по предмету Интегралы и дифференциальные уравнения (ИиДУ)Дифференциальные уравненияДифференциальные уравнения
4,5957
2021-05-122021-05-12СтудИзба
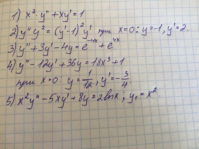
ДЗ 2: Дифференциальные уравнения вариант 10
Описание
Файлы условия, демо
Характеристики домашнего задания
Учебное заведение
Семестр
Номер задания
Вариант
Просмотров
89
Качество
Фото рукописных листов
Размер
786,27 Kb
Список файлов
1 (2).pdf
МГТУ им. Н.Э.Баумана


















