Для студентов МГТУ им. Н.Э.Баумана по предмету Интегралы и дифференциальные уравнения (ИиДУ)Дифференциальные уравнения высших порядковДифференциальные уравнения высших порядков
5,00511
2021-05-062024-09-03СтудИзба
ДЗ 2: Дифференциальные уравнения высших порядков вариант 8
-66%
Описание
Вариант 8 - ДЗ №2 - Дифференциальные уравнения- ИУ, РЛ, БМТ, ФН12 - Нет задач 5
Зачтено на максимальный балл 💥 💥 💥
Спасибо за покупку 🥰🥰
Интегралы и дифференциальные уравнения (2-й семестр) ![]()
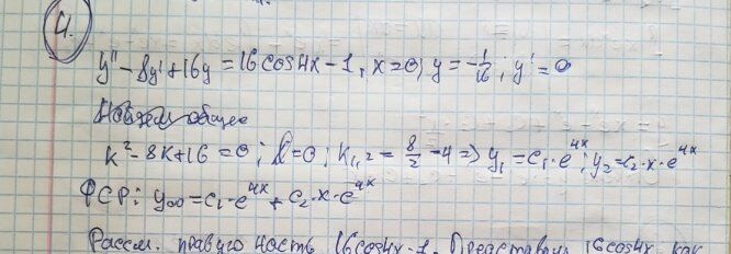
Задача 1




Характеристики домашнего задания
Учебное заведение
Семестр
Номер задания
Вариант
Просмотров
386
Размер
5,32 Mb
Список файлов
Вариант 8 - ДЗ №2 - Дифференциальные уравнения- ИУ, РЛ, БМТ, ФН12.docx

Друзья, спасибо за доверие! Если вам понравилась работа – поставьте 5⭐ и напишите отзыв. Это поможет другим студентам, а мне даст силы делать ещё больше качественных материалов для вас 🔥