ДЗ 1: Приложение определенного интеграла вариант 8
Описание
В файле зачтенный ТР-1 для факультета СМ. 6 задач. Условие ниже
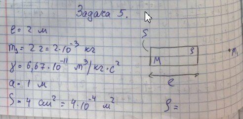
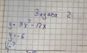
![]()

Характеристики домашнего задания
Учебное заведение
Семестр
Номер задания
Вариант
Просмотров
36
Качество
Фото рукописных листов
Размер
5,47 Mb
Список файлов
1.jpg
2.jpg
3.jpg
4.jpg
5.jpg
6.jpg
7.jpg
8.jpg
9.jpg
10.jpg
Комментарии
Нет комментариев
Стань первым, кто что-нибудь напишет!
МГТУ им. Н.Э.Баумана

















