Для студентов МГТУ им. Н.Э.Баумана по предмету Интегралы и дифференциальные уравнения (ИиДУ)Дифференциальные уравненияДифференциальные уравнения
5,00512
2020-05-212020-05-21СтудИзба
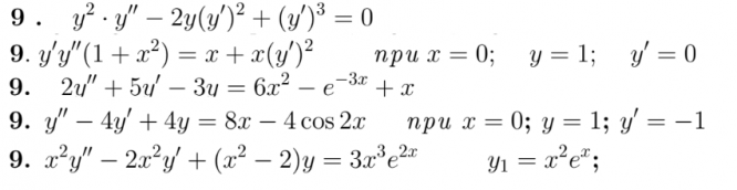
ДЗ 2: Дифференциальные уравнения вариант 9
Описание
Характеристики домашнего задания
Учебное заведение
Семестр
Номер задания
Вариант
Просмотров
399
Размер
4,42 Mb
Список файлов
дз2 на студизбу.pdf
МГТУ им. Н.Э.Баумана
hen



















