Для студентов МГТУ им. Н.Э.Баумана по предмету Интегралы и дифференциальные уравнения (ИиДУ)Дифференциальные уравненияДифференциальные уравнения
5,00514
2015-05-112024-09-10СтудИзба
ДЗ 2: Дифференциальные уравнения вариант 14
-62%
Описание
- Задача 1. Найти общее решение дифференциального уравнения.
- Задача 2. Найти частное решение дифференциального уравнения, удовлетворяющее заданным начальным условиям.
- Задача 3. Найти общее решение дифференциального уравнения.
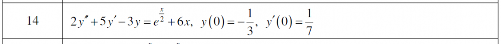
- Задача 4. Найти частное решение дифференциального уравнения, удовлетворяющее заданным начальным условиям.
- Задача 5. Найти общее решение линейного неоднородного дифференциального уравнения второго порядка, если известно одно частное решение y (x) 1 соответствующего однородного уравнения.
- Задача 6. Методом изоклин построить приближенно интегральные кривые дифференциального уравнения первого порядка.
Характеристики домашнего задания
Учебное заведение
Семестр
Номер задания
Вариант
Просмотров
1354
Качество
Фото рукописных листов
Размер
4,63 Mb
Список файлов
Дифференциальные уравнения.pdf

Вам все понравилось? Получите кэшбэк - 40 рублей на Ваш счёт при покупке. Поставьте оценку и напишите положительный комментарий к купленному файлу. После Вы получите деньги на ваш счет.