Актуальность 2025г - Сборка ответов на вопросы для подготовки к экзамену по курсу ИиДУ
Описание
В файле подробно разбирёмся 34 теоретических вопросов! (Вопросы в "ДЕМО") 💥💥💥
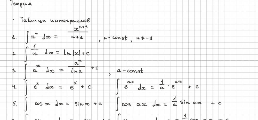
Преведены основные формулы интеграллов и производных 🌟🌟🌟
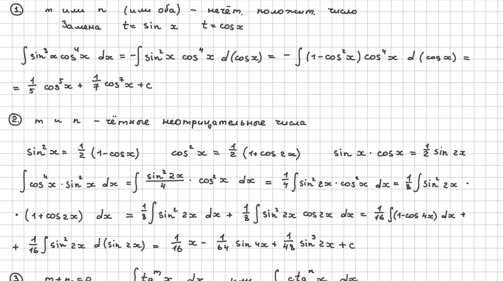
Преведены некоторые примеры решения типовых задач для подготовки (Помочь Вам само основно понимать: как начинается, какие методы используются ...) ✔️✔️✔️
ДЕМО
📌Ответы на Теоретические вопросы


📌Основные формулы

📌Примерные задачи
1. Сформулировать определение первообразной. Сформулировать свойства первообразной и неопределённого интеграла. Сформулировать и доказать теорему об интегрировании по частям для неопределённого интеграла. Разложение правильной рациональной дроби на простейшие. простейших дробей. 3. Сформулировать свойства определенного интеграла. Доказать теорему о сохранении определенным интегралом знака подынтегральной функции. 4. Сформулировать свойства определенного интеграла. Доказать теорему об оценке определенного интеграла. 5. Сформулировать свойства определенного интеграла. Доказать теорему об оценке модуля определенного интеграла. 6. Сформулировать свойства определенного интеграла.
Доказать теорему о среднем для определенного интеграла. 7. Дать определение интеграла с переменным верхним пределом. Сформулировать и доказать теорему о производной от интеграла с переменным верхним пределом. 8. Сформулировать свойства определенного интеграла. Вывести формулу Ньютона - 9. Дать геометрическую интерпретацию определенного интеграла. Сформулировать и доказать теорему об интегрировании подстановкой для определенного интеграла. 10. Сформулировать свойства определенного интеграла. Интегрирование периодических функций. Интегрирование четных и нечетных функций на отрезке, симметричном относитель- но начала координат. 11. Сформулировать свойства определенного интеграла.
Сформулировать и доказать теорему об интегрировании по частям для определённого интеграла. 12. Сформулировать определение несобственного интеграла 1-го рода. Сформулировать и доказать признак сходимости по неравенству для несобственных интегралов 1-го рода. 13. Сформулировать определение несобственного интеграла 1-го рода. Сформулировать и доказать предельный признак сравнения для несобственных интегралов 1-го рода. 14. Сформулировать определение несобственного интеграла 1-го рода. Сформулировать и доказать признак абсолютной сходимости для несобственных интегралов 1-го рода. 2. Интегрирование Лейбница..
Файлы условия, демо
Характеристики ответов (шпаргалок) к экзамену
Список файлов
