СБОРКА ТЕОРИИ + РЕШЕННЫХ ЗАДАЧ ДЛЯ ПОДГОТОВКИ К ЭКЗАМЕНУ ПО КУРСУ "ИНТЕГРАЛЫ И ДИФФЕРЕНЦИАЛЬНЫЕ УРАВНЕНИЯ"
Описание
РЕШЕНИЕ ЗАДАЧ В БИЛЕТАХ (25 БИЛЕТОВ)! (3 ЗАДАЧ/ 1 БИЛЕТ)
ОТВЕТЫ НА ТЕОРЕТИЧЕСКИЕ ВОПРОСЫ (28 ВОПРОСОВ)!
Содержание подробнее в "ДЕМО"
- 👉Теория
1. Сформулируйте определение определенного интеграла; его геометрический смысл. Докажите свойство линейности определённого интеграла
2. Сформулируйте и докажите теорему об оценке определенного интеграла
…………………………………………………………………………………….
27. Выведите формулу общего решения линейного однородного дифференциального уравнения 2-го порядка с постоянными коэффициентами в случае комплексных корней характеристического уравнения.
28. Выведите формулу общего решения линейного однородного дифференциального уравнения 2-го порядка с постоянными коэффициентами в случае кратных корней характеристического уравнения. - 👉Практика (Дополнительно)
Памятка по формулам
Площадь криволинейной трапеции
Длина дуги
Площадь криволинейного сектора
Объём тела вращения
Площадь поверхности тела вращения
Формулы общего решения характеристического уравнения
Формула решения системы дифференциальных уравнений
Интегрирование дифференциального уравнения
Однородного
Неоднородного
Решение системы дифференциальных уравнений
Пункт а
Пункт б
Составление дифференциального уравнения по его частным решениям
Способ 1 (долгий)
Способ 2 (быстрый)
ДЕМО
Теория
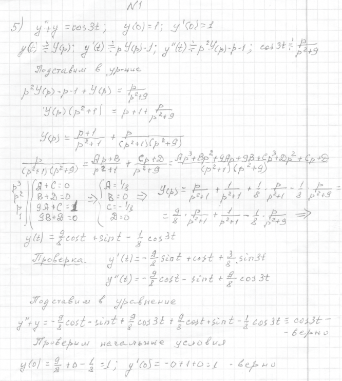
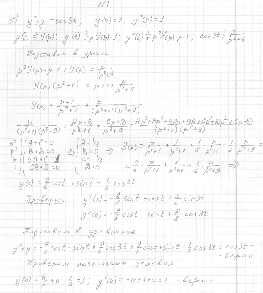
Задача
1. Сформулируйте определение определенного интеграла; его геометрический смысл. Докажите свойство линейности определённого интеграла 2. Сформулируйте и докажите теорему об оценке определенного интеграла 3. Сформулируйте и докажите свойство аддитивности определенного интеграла. 4. Сформулируйте и докажите теорему об интегрировании неравенств между функциями 5. Сформулируйте и докажите теорему о среднем значении для определенного интеграла 6. Сформулируйте и докажите теорему о производной от интеграла с переменным верхним пределом 7. Выведите формулу Ньютона-Лейбница для определенного интеграла 8. Сформулируйте признаки сходимости несобственных интегралов 1-го рода для неотрицательных функций.
9. Сформулируйте и докажите предельный признак сходимости несобственных интегралов 1-го рода для неотрицательных функций 10. Сформулируйте и докажите предельный признак сходимости несобственных интегралов 2-го рода для неотрицательных функций. 11. Сформулируйте признаки сходимости несобственных интегралов 2-го рода для неотрицательных функций. 12. Выведите формулу площади криволинейного сектора, заданного в полярной системе координат 13. Выведите формулу для вычисления объема по известным площадям поперечных сечений и формулу для вычисления объема тела, образованного вращением криволинейной трапеции вокруг оси OX. 14.
Выведите формулу объема тела, образованного вращением криволинейной трапеции вокруг оси OY. 15. Дайте определение длины дуги плоской кривой. Напишите формулы длины дуги кривой, заданной в декартовой и полярной системах координат. 16. Напишите формулу площади поверхности, образованной вращением дуги плоской кривой вокруг оси OX. 17. Сформулируйте и докажите теоремы о свойствах частных решений линейных однородного и неоднородного дифференциальных уравнений 18. Сформулируйте и докажите теорему о вронскиане линейно зависимой системы функций. 19. Сформулируйте и докажите теорему о вронскиане линейно независимой системы частных решений линейного однородного дифференциального уравнения.
20. Сформулируйте и докажите теорему о структуре общего решения линейного однородного дифференциального уравнения n - го порядка 21. Дайте определение фундаментальной системы решений линейного однородного дифференциального уравнения n - го порядка. Сформулируйте и докажите теорему о существовании фундаментальной системы решений для указанного уравнения. 22. Сформулируйте и докажите теорему о структуре общего решения линейного неоднородного дифференциального уравнения n - го порядка 23. Выведите формулу Остроградского - Лиувилля для линейного однородного дифференциального уравнения 2-го порядка 24. Сформулируйте и докажите теорему о наложении частных решений линейного неоднородного дифференциального уравнения (принцип суперпозиции).
25. Дайте обоснование метода вариации произвольных постоянных (метода вариации Лагранжа) для линейного неоднородного дифференциального уравнения 2-го порядка. 26. Выведите формулу общего решения линейного однородного дифференциального уравнения 2-го порядка с постоянными коэффициентами в случае простых действительных корней характеристического уравнения. 27. Выведите формулу общего решения линейного однородного дифференциального уравнения 2-го порядка с постоянными коэффициентами в случае комплексных корней характеристического уравнения. 28. Выведите формулу общего решения линейного однородного дифференциального уравнения 2-го порядка с постоянными коэффициентами в случае кратных корней характеристического уравнения.
.
Файлы условия, демо
Характеристики ответов (шпаргалок) к экзамену
Список файлов

Комментарии



