Для студентов МГТУ им. Н.Э.Баумана по предмету Интегралы и дифференциальные уравнения (ИиДУ)Дифференциальные уравненияДифференциальные уравнения
4,90547169
2022-05-062024-09-03СтудИзба
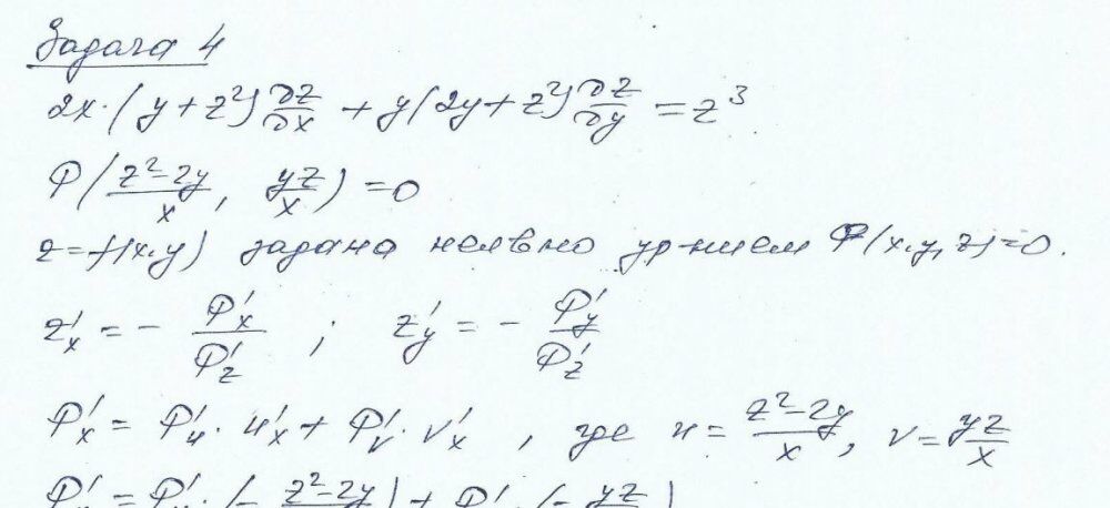
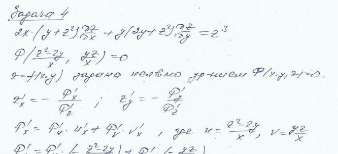
Ответы к контрольной работе 2: Дифференциальные уравнения вариант 6
-66%
Описание
Файлы условия, демо
Характеристики ответов (шпаргалок) к КР
Учебное заведение
Семестр
Номер задания
Вариант
Просмотров
540
Качество
Скан рукописных листов
Размер
3,81 Mb
Список файлов
РК №2 - Вариант 6.pdf

Друзья, спасибо за доверие! Если вам понравилась работа – поставьте 5⭐ и напишите отзыв. Это поможет другим студентам, а мне даст силы делать ещё больше качественных материалов для вас 🔥