Для студентов ИГЭУ им. Ленина по предмету ИнформатикаСоставить циклическую программу вычисления функции Ym=F(Xi), где m=1-5, а аргумент Хi задан в виде массива. Вариант задания берется из табл. 4 в соотвСоставить циклическую программу вычисления функции Ym=F(Xi), где m=1-5, а аргумент Хi задан в виде массива. Вариант задания берется из табл. 4 в соотв
2025-05-032025-05-03СтудИзба
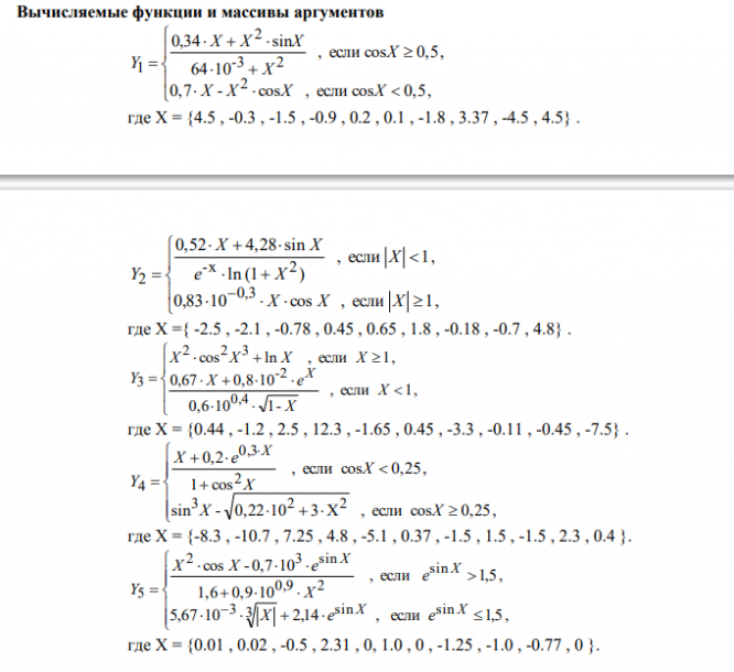
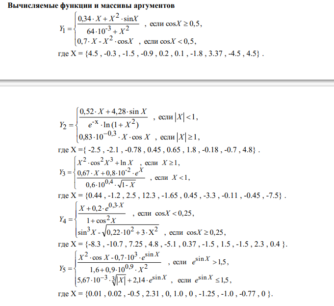
Составить циклическую программу вычисления функции Ym=F(Xi), где m=1-5, а аргумент Хi задан в виде массива. Вариант задания берется из табл. 4 в соответствии с номером, указанным преподавателем. Вычисляемые функции и массивы аргументов приведены посл
Описание
Составить циклическую программу вычисления функции Ym=F(Xi), где m=1-5, а аргумент Хi задан в виде массива. Вариант задания берется из табл. 4 в соответствии с номером, указанным преподавателем. Вычисляемые функции и массивы аргументов приведены после таблицы.
Обозначения искомых переменных: Аt , Gt – соответственно среднее арифметическое и среднее геометрическое вычисляемых значений Ym , где индекс t указывает, для каких конкретных значений Ym производятся расчеты перечисленных переменных: t = 0 – для всех результатов Ym; 1 – для результатов Ym, меньших V1 ; 2 – для результатов Ym, меньших V2 ; 3 – для результатов Ym, больших V1 ; 4 – для результатов Ym, не меньших V2 . MIN – минимальный результат, МАХ – максимальный результат, МIN1 – минимальный по абсолютной величине результат, MAX1 – максимальный по абсолютной величине результат. Обозначения формируемых массивов: R0 – массив всех результатов Ym; R1 – массив результатов Ym, меньших W1; R2 – массив результатов Ym, не меньших W1; RЗ – массив отрицательных результатов Ym; R4 – массив положительных результатов Ym; R5 – массив модулей результатов Ym, которые по абсолютной величине больше W2; R6 – массив модулей результатов Ym, которые по абсолютной величине меньше W2. Рекомендации. При программировании вычисления функций Y следует анализировать возможность возникновения ошибок выполнения таких математических операций, как деление на ноль и вычисление логарифма нуля или отрицательного числа. Последняя ошибка может быть следствием неправомочного применения операции логарифмирования для вычисления целой степени произвольного числа (например, для вычисления cos2 (X)).
Характеристики лабораторной работы
Предмет
Учебное заведение
Семестр
Номер задания
Вариант
Программы
Теги
Просмотров
5
Качество
Идеальное компьютерное
Размер
262,21 Kb
Преподаватели
Список файлов
Отчёт №4.docx
ИГЭУ им. Ленина

















