Для студентов СФУ по предмету ИнформатикаЧисленные методы решения алгебраических и трансцендентных уравненийЧисленные методы решения алгебраических и трансцендентных уравнений
5,0053191
2025-03-242025-03-24СтудИзба
Лабораторная работа: Численные методы решения алгебраических и трансцендентных уравнений
Описание
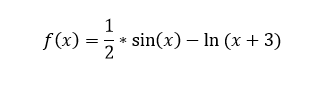
Цель работы: вычислить корни уравнения пятью разными способами (графическим, методом половинного деления, методом касательных, методом хорд и комбинированным методом) и сравнить результаты между собой.
![]()

Характеристики лабораторной работы
Предмет
Учебное заведение
Просмотров
3
Качество
Идеальное компьютерное
Размер
704,58 Kb
Список файлов
laba-1.docx

Если нужен другой вариант работы или отдельная задача из любой работы, пишите в комментарии