Для студентов по предмету ХимияЗадача 528: В задачах 522 – 536 для данной гомогенной реакции А + В ↔ ↔ С + D определите температуру, при которой наступает равновесие. Напишите выражЗадача 528: В задачах 522 – 536 для данной гомогенной реакции А + В ↔ ↔ С + D определите температуру, при которой наступает равновесие. Напишите выраж
5,00530
2022-03-152024-09-22СтудИзба
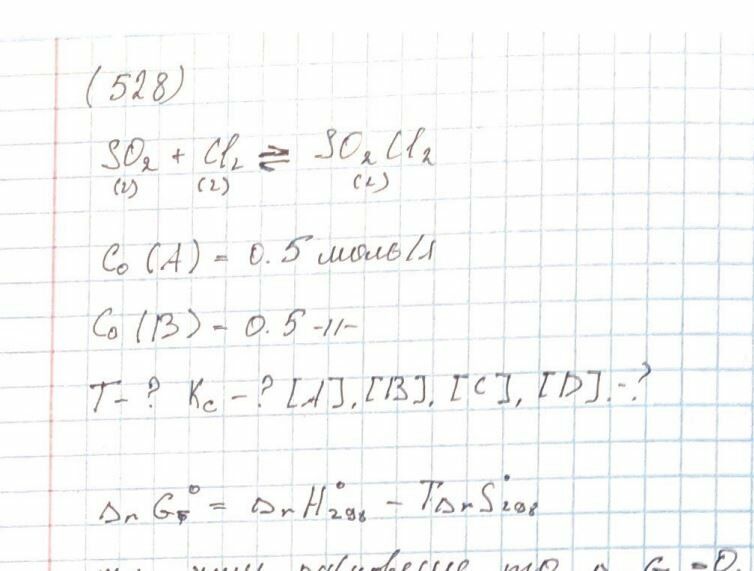
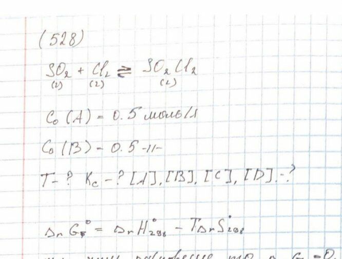
Задача 528: В задачах 522 – 536 для данной гомогенной реакции А + В ↔ ↔ С + D определите температуру, при которой наступает равновесие. Напишите выражение константы равновесия. Рассчитайте 55 равновесный состав системы при этой температуре, если изве
-37%
Описание
Зачтено на максимальный балл
В задачах 522 – 536 для данной гомогенной реакции А + В ↔ ↔ С + D определите температуру, при которой наступает равновесие. Напишите выражение константы равновесия. Рассчитайте 55 равновесный состав системы при этой температуре, если известны начальные концентрации исходных веществ C0 (продукты реакции в исходной смеси отсутствуют).528 | SO2 (г) + Cl2(г) ↔ SO2Cl 2(г) | 0,5 | 0,5 |

Характеристики решённой задачи
Предмет
Номер задания
Теги
Просмотров
412
Размер
3,34 Mb
Список файлов
528.pdf

Друзья, спасибо за доверие! Если вам понравилась работа – поставьте 5⭐ и напишите отзыв. Это поможет другим студентам, а мне даст силы делать ещё больше качественных материалов для вас 🔥