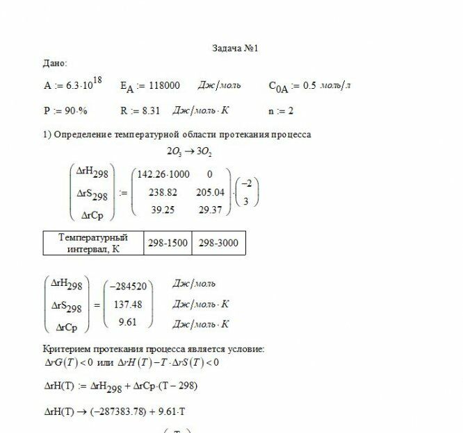
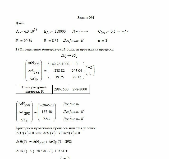
Для студентов НИУ «МЭИ» по предмету ХимияВариант 10 - Типовой расчет №4 - Кинетика простых реакцийВариант 10 - Типовой расчет №4 - Кинетика простых реакций
2021-10-242021-10-24СтудИзба
ДЗ: Вариант 10 - Типовой расчет №4 - Кинетика простых реакций вариант 10
Описание
Характеристики домашнего задания
Предмет
Учебное заведение
Семестр
Вариант
Просмотров
19
Размер
877,34 Kb
Список файлов

Друзья, спасибо за доверие! Если вам понравилась работа – поставьте 5⭐ и напишите отзыв. Это поможет другим студентам, а мне даст силы делать ещё больше качественных материалов для вас 🔥