Для студентов МГТУ им. Н.Э.Баумана по предмету ФизикаЗадача 5.1Задача 5.1
5,0052
2024-10-082024-10-08СтудИзба
Вариант 6 - ДЗ №1 - Задача 5.1.06
Задача 5.1 вариант 6
Описание
Задача из типовика №1, зачтена на максимальный балл
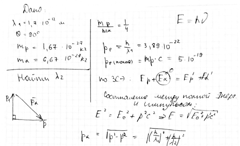
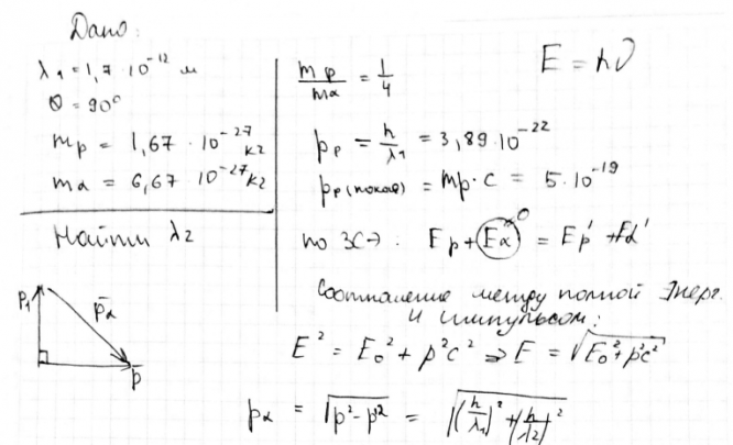
Условие:
Решение:
Показать/скрыть дополнительное описание
Условие:


Типовой расчёт по физике МГТУ.
Характеристики решённой задачи
Предмет
Учебное заведение
Семестр
Номер задания
Вариант
Программы
Просмотров
16
Качество
Скан рукописных листов
Размер
748,41 Kb
Список файлов
5.1.06 787.pdf

Спасибо за покупку! Я буду очень рад, если поставишь справедливую оценку купленному файлу :3 Ищи больше работ в моём профиле, там много нужного тебе!