Для студентов МГТУ им. Н.Э.Баумана по предмету ФизикаДинамика материальной точкиДинамика материальной точки
4,97514414
2023-09-242023-09-24СтудИзба
Вариант 22 - ДЗ №1 - "Динамика материальной точки"
Задача 1: Динамика материальной точки вариант 22
Описание
Дз-1, задача №1 - "Динамика материальной точки", зачтена на максимальный балл
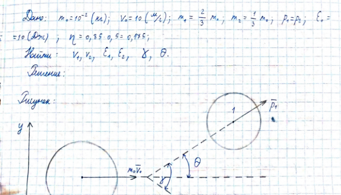
Условие:
Решение:
Показать/скрыть дополнительное описание
Условие:



Типовой расчет по физике МГТУ 2 семестр домашнее задание волны колебания динамика точки вращательного.
Характеристики решённой задачи
Предмет
Учебное заведение
Семестр
Номер задания
Вариант
Просмотров
5
Качество
Скан рукописных листов
Размер
5,35 Mb
Список файлов
Вариант 22 Дз1 686.pdf

Спасибо за покупку! Я буду очень рад, если поставишь справедливую оценку купленному файлу :3 Ищи больше работ в моём профиле, там много нужного тебе!