Для студентов МГТУ им. Н.Э.Баумана по предмету ФизикаМагнитостатикаМагнитостатика
4,97514503
2023-08-052025-10-14СтудИзба
Вариант 16 - Задача 2 "Магнитостатика"
Задача 2: Магнитостатика вариант 16
-25%
Описание
Типовой расчет по физике №1, задача "Магнитостатика", зачтено
Условие:
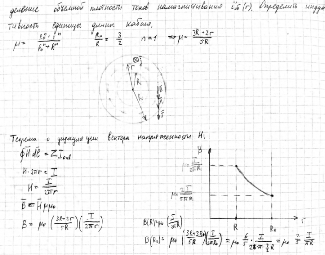
Решение:
Показать/скрыть дополнительное описание
Условие:



Типовой расчет по физике МГТУ 3 семестр домашнее задание магнитостатика электростатика индукция волны.
Характеристики решённой задачи
Предмет
Учебное заведение
Семестр
Номер задания
Вариант
Просмотров
5
Качество
Скан рукописных листов
Размер
3,52 Mb
Список файлов
Вариант 16 Магнит 716.pdf

Спасибо за покупку! Я буду очень рад, если поставишь справедливую оценку купленному файлу :3 Ищи больше работ в моём профиле, там много нужного тебе!