Для студентов МГТУ им. Н.Э.Баумана по предмету ФизикаДинамика материальной точкиДинамика материальной точки
3,7753
2023-03-312023-03-31СтудИзба
Задача 1: Динамика материальной точки вариант 27
Описание
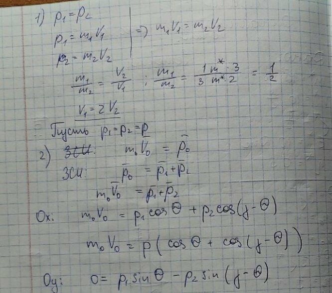
Вариант 27 - ДЗ №1 - Динамика материальной точки
Зачтено на максимальный балл 💥 💥 💥
Спасибо за покупку 🥰🥰🥰



Характеристики решённой задачи
Предмет
Учебное заведение
Семестр
Номер задания
Вариант
Просмотров
126
Качество
Идеальное компьютерное
Размер
5,95 Mb
Список файлов
Вариант 27 - ДЗ №1 - Динамика материальной точки.pdf

Друзья, спасибо за доверие! Если вам понравилась работа – поставьте 5⭐ и напишите отзыв. Это поможет другим студентам, а мне даст силы делать ещё больше качественных материалов для вас 🔥