Для студентов МГТУ им. Н.Э.Баумана по предмету ФизикаКолебанияКолебания
5,0051
2022-04-142024-11-27СтудИзба
Задача 3: Колебания вариант 14
Описание
Зачтено на максимальный балл
Задача 3-3 для вариантов с 9 по 20
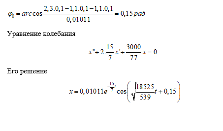
Каждая колебательная система (КС), представленная на рис. 28, 29, 30, 31, состоит из шайбы массой m и двух упругих пружин, имеющих жесткости k1 и k2 . Движение КС происходит в окружающей среде с малыми вязкими свойствами (малым коэффициентом сопротивления r). На рис. 28, 30 шайба колеблется под действием пружин, соединенных параллельно, а на рис. 29, 31 колебания происходят под действием пружин, соединенных последовательно. Массой пружин можно пренебречь. На рис. 28, 29 КС имеет горизонтальное расположение, а на рис. 30, 31 вертикальное расположение в поле силы тяжести. Длины 1-ой и 2-ой пружин в недеформированных состояниях равны l10 и l20. На рис.28, 30 L - длина каждой пружины в деформированном состоянии при t=0. На рис.29, 31 L - общая длина двух пружин в деформированном состоянии при t=0. Возможные векторы начальной скорости шайбы равны V1, V2. Шайбу, находящуюся в положении равновесия, смещают до расстояния L, а затем импульсом придают ей в начальный момент времени t=0 скорость V1 или V2 , в соответствии с заданием (см. таблицы №10 - 13). В результате КС приходит в колебательное движение.
Общие исходные данные: , , , , , , , .

Вар | r | k1 | k2 | m | l10 | l20 | L | V1 | V2 |
14 | 3r* | k* | 1,2k* | 1,4m* | 1,1l* | 1,1l* | 2,3l* | 0 | 0,3U* |


Задача 3-3 для вариантов с 9 по 20 Каждая колебательная система (КС), представленная на рис. 28, 29, 30, 31, состоит из шайбы массой m и двух упругих пружин, имеющих жесткости k1 и k2 . Движение КС происходит в окружающей среде с малыми вязкими свойствами (малым коэффициентом сопротивления r).
Характеристики решённой задачи
Предмет
Учебное заведение
Семестр
Номер задания
Вариант
Просмотров
22
Качество
Идеальное компьютерное
Размер
125,63 Kb
Список файлов
задача 3.3 вариант 14.docx

Ваше удовлетворение является нашим приоритетом, если вы удовлетворены нами, пожалуйста, оставьте нам 5 ЗВЕЗД и позитивных комментариев. Спасибо большое!. Смотрите файлы в моем профиле, там есть много полезных !