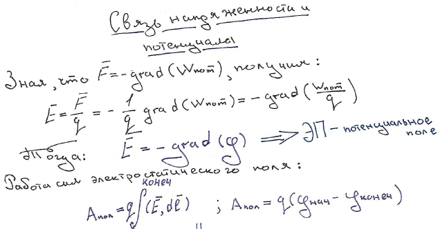
Для студентов МГТУ им. Н.Э.Баумана по предмету ФизикаКраткий конспект лекций для лаб [1-8]Краткий конспект лекций для лаб [1-8]
5,0051
2020-07-212020-07-21СтудИзба
Лекции: Краткий конспект лекций для лаб [1-8]
Описание
Характеристики лекций
Тип
Предмет
Учебное заведение
Семестр
Просмотров
137
Качество
Скан рукописных листов
Размер
3,04 Mb
Список файлов
краткие лекции 2 семестр.pdf
Комментарии
Нет комментариев
Стань первым, кто что-нибудь напишет!

МГТУ им. Н.Э.Баумана
catspinner


















