Для студентов НИУ «МЭИ» по предмету ФизикаИзучение интерферометра Майкельсона. Исследование изменения показателя преломления воздуха в оптической кювете в функции от давленияИзучение интерферометра Майкельсона. Исследование изменения показателя преломления воздуха в оптической кювете в функции от давления
5,0056
2023-01-222024-08-31СтудИзба
Изучение интерферометра Майкельсона. Исследование изменения показателя преломления воздуха в оптической кювете в функции от давления
-52%
Описание
Изучение интерферометра Майкельсона. Исследование изменения показателя преломления воздуха в оптической кювете в функции от давления
Таблица 1Спецификация измерительных приборов
Название прибора и его тип | Пределы измерения | Цена деления | Инструментальная погрешность |
Манометр | 125 – 0 дел | 1 дел | 0,5 дел |
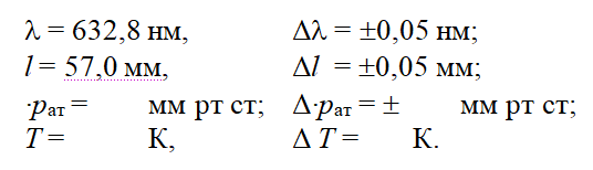
Данные установки и условия опыта
Таблица 2
Измерение числа сместившихся интерференционных полос при изменении избыточного давления в кювете
N, дел | Δp мм рт ст | Δm | Δn |
|
|
|
|
|
|
|
|
|
|
|
|
|
|
|
|
|
|
|
|
|
|
|
|
|
|
|
|
|
|
|
|
|
|
|
|
|
|
|
|
Файлы условия, демо
Характеристики лабораторной работы
Предмет
Учебное заведение
Семестр
Номер задания
Просмотров
64
Качество
Идеальное компьютерное
Размер
973,72 Kb
Список файлов
Расчеты.pdf
Расчеты.xmcd
Отчет.jpg

Вам все понравилось? Получите кэшбэк - 40 рублей на Ваш счёт при покупке. Поставьте оценку и напишите положительный комментарий к купленному файлу. После Вы получите деньги на ваш счет.