Для студентов МГТУ им. Н.Э.Баумана по предмету ФизикаИзучение процессов зарядки и разрядки конденсатораИзучение процессов зарядки и разрядки конденсатора
5,0051
2021-09-272024-09-05СтудИзба
Лабораторная работа Э: Изучение процессов зарядки и разрядки конденсатора вариант 103
-41%
Описание
Зачтенная лабораторная работа Э-103 + контрольные вопросы
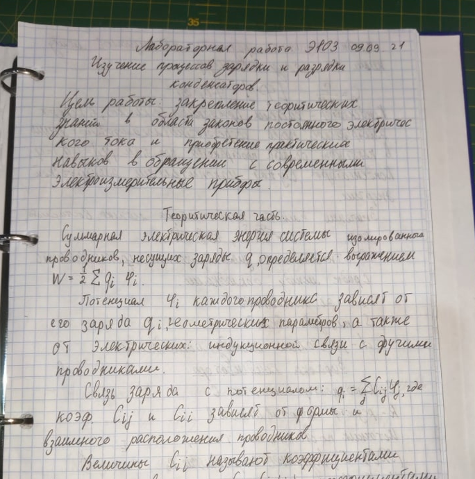
ЦЕЛЬ РАБОТЫ: закрепление теоретических знаний в области законов постоянного электрического тока и приобретение практических навыков в обращении с современными электроизмерительными приборами.
ВВЕДЕНИЕ: процессы зарядки и разрядки конденсатора относятся к классическим примерам, изучаемым в начальный период освоения законов электромагнетизма. При проведении лабораторной работы студенты знакомятся с основными физическими величинами теории электричества: электрический заряд, потенциал, напряженность, электрическое напряжение, сила и плотность тока, электрическое сопротивление и проводимость, электрическая емкость, энергия и мощность. Изучаемые процессы обладают наглядностью, что делает их доступными для понимания и усвоения.
ЦЕЛЬ РАБОТЫ: закрепление теоретических знаний в области законов постоянного электрического тока и приобретение практических навыков в обращении с современными электроизмерительными приборами.
ВВЕДЕНИЕ: процессы зарядки и разрядки конденсатора относятся к классическим примерам, изучаемым в начальный период освоения законов электромагнетизма. При проведении лабораторной работы студенты знакомятся с основными физическими величинами теории электричества: электрический заряд, потенциал, напряженность, электрическое напряжение, сила и плотность тока, электрическое сопротивление и проводимость, электрическая емкость, энергия и мощность. Изучаемые процессы обладают наглядностью, что делает их доступными для понимания и усвоения.


Характеристики лабораторной работы
Предмет
Учебное заведение
Семестр
Номер задания
Вариант
Просмотров
32
Качество
Фото рукописных листов
Размер
2,85 Mb
Список файлов

Спасибо за покупку! Я буду очень рад, если поставишь справедливую оценку купленному файлу :3 Ищи больше работ в моём профиле, там много нужного тебе!