Для студентов МГТУ им. Н.Э.Баумана по предмету ФизикаДинамика материальной точки + Динамика вращательного движенияДинамика материальной точки + Динамика вращательного движения
5,0053
2022-03-272025-02-11СтудИзба
Вариант 23 - ДЗ №1 - "Динамика материальной точки" и "Динамика вращательного движения"
ДЗ 1: Динамика материальной точки + Динамика вращательного движения вариант 23
-25%
Описание
Домашняя работа №1, "Динамика материальной точки + Динамика вращательного движения", зачтено на максимальный балл
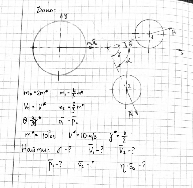
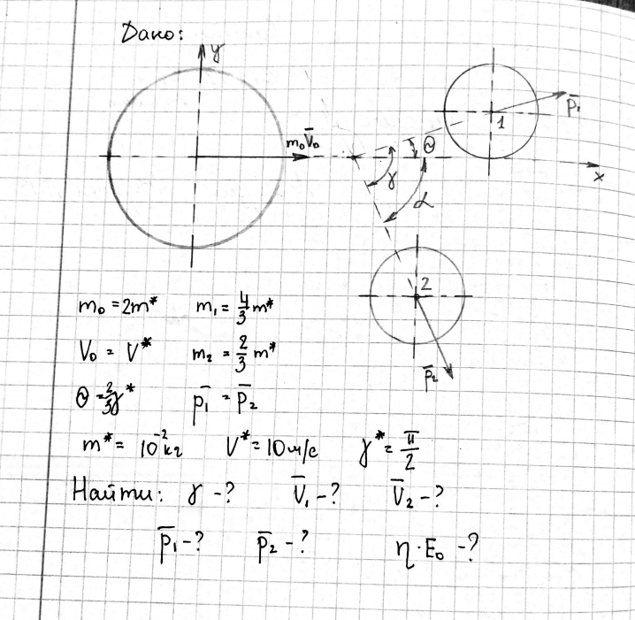
Задача 1:
Задача 2:
Показать/скрыть дополнительное описание
Задача 1:


Задача 2:


Показать/скрыть дополнительное описание
Типовой расчет по физике МГТУ 2 семестр домашнее задание волны колебания динамика точки вращательного.
Файлы условия, демо
Характеристики домашнего задания
Предмет
Учебное заведение
Семестр
Номер задания
Вариант
Просмотров
47
Качество
Скан рукописных листов
Размер
2,91 Mb
Список файлов
Вариант 23 Дз-2 66.pdf
Вариант 23 Дз1 695.pdf

Спасибо за покупку! Я буду очень рад, если поставишь справедливую оценку купленному файлу :3 Ищи больше работ в моём профиле, там много нужного тебе!