Для студентов ИГЭУ им. Ленина по предмету ФизикаЭлементы квантовой механики и атомной физикиЭлементы квантовой механики и атомной физики
5,00575
2025-08-282025-08-29СтудИзба
Ответы к контрольной работе 3: Элементы квантовой механики и атомной физики
Описание
Элементы квантовой механики и атомной физики
- 3.1. Групповая скорость волны де-Бройля..
2) не имеет смысла как физическая величина
3) больше скорости сета в вакууме
4) зависит от квадрата длины волны
5) равна скорости частицы
- 3.2. Два источника излучают свет с длинами волн 375 нм и 750 нм. Отношение им пульсов фотонов p1 / p2 равно..
2) 1
3) 0,4
4) 2
- 3.3. Если протон и нейтрон двигаются с одинаковыми скоростями, то отношения их длин волн де-Бройля λp/λn равно..
2) 2
3) 4
4) 1
- 3.4. Если частицы имеют одинаковую длину волны де-Бройля, то наименьшей скоростью обладает..
2) позитрон
3) а-частица
4) нейтрон
- 3.5. Если длина волны де-Бройля частиц одинакова, то наибольшей скоростью обладает..
2) электрон
3) а-частица
4) протон
- 3.6. Электрон локализован в пределах Δx = 1,0 мкм. Учитывая, что постоянная Планка h = 1,05*10-34 Дж*с, а масса электрона m = 9,1 * 10-31 кг, неопределенность скорости ΔVx (в м/с) равна..
2) 87*10-3
3) 0,115
4)115
- 3.7. Согласно принципу неопределенности облако свободного электрона, первоначально локализованное в области диаметром 10-10 м, за тысячную долю секунды расплывется до размера . Принять ћ ≈ 10-34 Дж*с, mе = 9*10-31кг.
2) 1 мм
3) 1 м
4) 1 км
- 3.8. Облако свободного электрона первоначально имеет размер атома 10-10 м. Электронное облако расплывается до размеров футбольного мяча (0,1м) за время
порядка... Принять ћ ≈ 10-34 Дж*с, mе = 9*10-31кг
2) 10-9 с
3) 103 с
4) 10-3 с
5) 10-7 с
- 3.9. Протон локализован в пределах Δx = 1,О мкм. Учитывая, что постоянная Планка ћ = 1,05 * 10-34 Дж*с, масса протона m = 1,67 * 10-27 кг, неопределенность скорости ΔVx (в м/с) равна...
2) 6,29 * 10-2
3) 6,29 * 10-5
4) 1,59 * 10-2
- 3.10. Положение пылинки массой m = 10-9 кг можно установить с неопределенностью Δx = 1,О мкм. Учитывая, что постоянная Планка ћ = 1,05 * 10-34 Дж*с, неопределенность скорости ΔVx (в м/с) будет не менее...
2) 1,05 * 10-21
3) 1,05 * 10-19
4) 1,05 * 10-27
- 3.11. Время жизни атома в возбужденном состоянии т = 10нс. Учитывая, что постоянная Планка ћ = 6,6 * 10-16 эВ*с, ширина энергетического уровня (в эВ) состав-
ляет не менее...
2) 6,6 * 10-8
3) 1,5 * 10-10
4) 1,5 * 10-8
- 3.12. Время жизни возбужденного состояния молекулы равно 10-6с. Согласно принципу неопределенности диапазон частот, излучаемых молекулой при радиационном распаде этого состояния, составляет...
2) 0,01 МГц
3) 100 МГц
4) 10 МГц
5) 0,1 МГц
- 3.13. Интервал частот, излучаемых атомом при радиационном распаде его возбужденного состояния, составляет 100 кГц. Согласно принципу неопределенности время жизни атома в этом состоянии...
2) 10-3с
3) 10-5с
4) 10-10с
- 3.14. Время излучения фотона атомом — 10-8 с. Интервал частот, которые излучает атом, равен...
2) 100 Гц
3) 108 Гц
4) 10-8Гц
- 3.15. Стационарным уравнением Шредингера для частицы в трехмерной потенциальной «яме» с бесконечно высокими стенками является...




- 3.16. Волновая функция частицы в потенциальной «яме» с бесконечно высокими стенками шириной L имеет вид
Величина импульса этой частицы в основном состоянии равна:
2) 3πћ/2L
3) πћ/2L
4) 2πћ/3L
- 3.17. Установите соответствие уравнений Шредингера их физическому смыслу:
2) 1 - А, 2 - Б, 3 - Г, 4 - В
3) 1 - В, 2 - Б, 3 - А, 4 - Д
4) 1 - Г, 2 - Б, 3 - А, 4 - В
- 3.18. Волновая функция стенками частицы в потенциальной «яме» с бесконечно высокими стенками шириной L имеет вид
Если величина импульса этой частицы равна 3ћπ/L, то длина волны де Бройля равна..
2) 3L
3) 3L/2
4) 2L/3
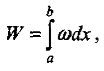
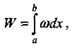
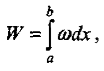
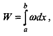
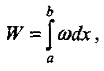
- 3.19. Вероятность обнаружить частицу на участке (а,Ь) одномерной потенциальной «ямы» с бесконечно высокими стенками вычисляется по формуле

1) 1/4
2) 3/8
3) 5/8
4) 1/2
- 3.20. Вероятность обнаружить частицу на участке (а,Ь) одномерной потенциальной «ямы» с бесконечно высокими стенками вычисляется по формуле

2) 1/2
3) 1/3
4) 2/3
- 3.21. Вероятность обнаружить частицу на участке (а,Ь) одномерной потенциальной «ямы» с бесконечно высокими стенками вычисляется по формуле

2) 1/2
3) 1/3
4) 2/3
- 3.22. Вероятность обнаружить частицу на участке (а,Ь) одномерной потенциальной «ямы» с бесконечно высокими стенками вычисляется по формуле

1) 1/3
2) 1/2
3) 5/6
4) 2/3
- 3.23. На рисунках приведены картины распределения плотности вероятности нахождения микрочастицы в потенциальной «яме» с бесконечно высокими стенками.
Состоянию с квантовым числом n = 4 соответствует распределение...




- 3.24. Электрон в атоме водорода перешел из основного состояния в возбужденное состояние с n = З . Радиус его боровской орбиты ..
2) увеличился в 2 раза
3) увеличился в 9 раз
4) уменьшился в 3 раза
5) увеличился в 3 раза
- 3.25. На рисунке изображены стационарные орбиты
атома водорода согласно модели Бора, а также условно изображены переходы электрона с одной стационарной орбиты на другую, сопровождающиеся излучением кванта энергии. В ультрафиолетовой области спектра эти переходы дают серию Лаймана, в видимой — серию Бальмера, в инфракрасной — серию Пашена. Наибольшей частоте кванта в серии Лаймана соответствует переход...
2) n = 5 → n = 3
3) n = 3 → n = 2
4) n = 5 → n = 1
- 3.26. На рисунке изображены стационарные орбиты
атома водорода согласно модели Бора, а также условно изображены переходы электрона с одной стационарной орбиты на другую, сопровождающиеся излучением кванта энергии. В ультрафиолетовой области спектра эти переходы дают серию Лаймана, в видимой — серию Бальмера, в инфракрасной — серию Пашена. Наибольшей частоте кванта в серии Лаймана соответствует переход...
2) n = 4 → n = 3
3) n = 5 → n = 3
4) n = 3 → n = 2
- 3.27. Видимую часть спектра излучения атома водорода описывает формула...




- 3.28. В атоме водорода главному квантовому числу n (без учета спина) соответствует ...
2) 2n2 различных квантовых состояний
3) n + 1 различных квантовых состояний
4) n - 1 различных квантовых состояний
5) (n - 1)2 различных квантовых состояний
- 3.29. В атоме K и L электронные оболочки заполнены полностью. Общее число р-электронов равно ...
2) 8
3) 4
4) 2
5) 10
- 3.30. В атоме K, L и М электронные оболочки заполнены полностью. Общее число р-электронов равно ...
2) 50
3) 28
4) 32
5) 10
- 3.31. Установить соответствие квантовых чисел их физическому смыслу
2) ! - В, 2 - А, 3 - Г
3) 1 - Г, 2 - Б, 3 - А
4) 1 - А, 2 - Б, 3 - В
- 3.32. Орбитальное квантовое чисто I определяет..
2) проекцию орбитального момента импульса электрона на заданное направление
3) орбитальный механический момент электрона в атоме
4) собственный механический момент электрона в атоме
- 3.33. При переходах электрона в атоме с одного уровня на другой закон сохранения момента импульса накладывает определенные ограничения (правило отбора). Если система энергетических уровней атома водорода имеет вид, представленный на рисунке, то запрещенными переходами являются...
2) 4f → 2p
3) 3s → 2p
4) 4p → 3d
- 3.34. При переходах электрона в атоме с одного уровня на другой закон сохранения момента импульса накладывает определенные ограничения (правило отбора). Если система энергетических уровней атома водорода имеет вид, представленный на рисунке, то запрещенными переходами являются...
2) 4f → 2p
3) 3d → 2p
4) 2p → 1s
- 3.35. При переходах электрона в атоме с одного уровня на другой закон сохранения момента импульса накладывает определенные ограничения (правило отбора). Если система энергетических уровней атома водорода имеет вид, представленный на рисунке, то запрещенными переходами являются...
2) 4s → 3d
3) 4s → 3p
4) 2p → 1s
- 3.36. При переходах электрона в атоме с одного уровня на другой закон сохранения момента импульса накладывает определенные ограничения (правило отбора). Если система энергетических уровней атома водорода имеет вид, представленный на рисунке, то запрещенными переходами являются...
2) 4p → 3p
3) 4d → 2s
4) 3d → 2p
- 3.37. При переходах электрона в атоме с одного уровня на другой закон сохранения момента импульса накладывает определенные ограничения (правило отбора). Если система энергетических уровней атома водорода имеет вид, представленный на рисунке, то запрещенными переходами являются...
2) 4f → 2p
3) 4s → 3p
4) 3s → 2p
- 3.38. При переходах электрона в атоме с одного уровня на другой закон сохранения момента импульса накладывает определенные ограничения (правило отбора). Если система энергетических уровней атома водорода имеет вид, представленный на рисунке, то запрещенными переходами являются...
2) 2p → 1s
3) 4s → 3d
4) 4s → 3p
- 3.39. На рисунке схематически представлена система энергетических уровней атома водорода. Правилами отбор запрещены переходы...
2) 4f → 3p
3) 4s → 3p
4) 3p → 2s
- 3.40. Задана пси-функция ψ(x, y, x) частицы. Вероятность того, что частица будет обнаружена в объеме V, определяется выражением..





Список вопросов
3.31. Установить соответствие квантовых чисел их физическому смыслу ![]()

3.22. Вероятность обнаружить частицу на участке (а,Ь) одномерной потенциальной «ямы» с бесконечно высокими стенками вычисляется по формуле
где — ω плотность вероятности, определяемая ψ - функцией. Если ψ - функция имеет вид, указанный на рисунке, то вероятность обнаружить частицу на участке L/6 < х < 5L/6 равна. ..
![]()


3.23. На рисунках приведены картины распределения плотности вероятности нахождения микрочастицы в потенциальной «яме» с бесконечно высокими стенками.
Состоянию с квантовым числом n = 4 соответствует распределение...
Состоянию с квантовым числом n = 4 соответствует распределение...
3.24. Электрон в атоме водорода перешел из основного состояния в возбужденное состояние с n = З . Радиус его боровской орбиты ..
3.25. На рисунке изображены стационарные орбиты атома водорода согласно модели Бора, а также условно изображены переходы электрона с одной стационарной орбиты на другую, сопровождающиеся излучением кванта энергии. В ультрафиолетовой области спектра эти переходы дают серию Лаймана, в видимой — серию Бальмера, в инфракрасной — серию Пашена. Наибольшей частоте кванта в серии Лаймана соответствует переход...
![]()

3.26. На рисунке изображены стационарные орбиты атома водорода согласно модели Бора, а также условно изображены переходы электрона с одной стационарной орбиты на другую, сопровождающиеся излучением кванта энергии. В ультрафиолетовой области спектра эти переходы дают серию Лаймана, в видимой — серию Бальмера, в инфракрасной — серию Пашена. Наибольшей частоте кванта в серии Лаймана соответствует переход...
![]()

3.27. Видимую часть спектра излучения атома водорода описывает формула...
3.28. В атоме водорода главному квантовому числу n (без учета спина) соответствует ...
3.29. В атоме K и L электронные оболочки заполнены полностью. Общее число р-электронов равно ...
3.30. В атоме K, L и М электронные оболочки заполнены полностью. Общее число р-электронов равно ...
3.21. Вероятность обнаружить частицу на участке (а,Ь) одномерной потенциальной «ямы» с бесконечно высокими стенками вычисляется по формуле
где — ω плотность вероятности, определяемая ψ - функцией. Если ψ - функция имеет вид, указанный на рисунке, то вероятность обнаружить частицу на участке L/3 < х < 5L/6 равна. ..
![]()


3.32. Орбитальное квантовое чисто I определяет..
3.33. При переходах электрона в атоме с одного уровня на другой закон сохранения момента импульса накладывает определенные ограничения (правило отбора). Если система энергетических уровней атома водорода имеет вид, представленный на рисунке, то запрещенными переходами являются...
![]()

3.34. При переходах электрона в атоме с одного уровня на другой закон сохранения момента импульса накладывает определенные ограничения (правило отбора). Если система энергетических уровней атома водорода имеет вид, представленный на рисунке, то запрещенными переходами являются...
![]()

3.35. При переходах электрона в атоме с одного уровня на другой закон сохранения момента импульса накладывает определенные ограничения (правило отбора). Если система энергетических уровней атома водорода имеет вид, представленный на рисунке, то запрещенными переходами являются...
![]()

3.36. При переходах электрона в атоме с одного уровня на другой закон сохранения момента импульса накладывает определенные ограничения (правило отбора). Если система энергетических уровней атома водорода имеет вид, представленный на рисунке, то запрещенными переходами являются...
![]()

3.37. При переходах электрона в атоме с одного уровня на другой закон сохранения момента импульса накладывает определенные ограничения (правило отбора). Если система энергетических уровней атома водорода имеет вид, представленный на рисунке, то запрещенными переходами являются...
![]()

3.38. При переходах электрона в атоме с одного уровня на другой закон сохранения момента импульса накладывает определенные ограничения (правило отбора). Если система энергетических уровней атома водорода имеет вид, представленный на рисунке, то запрещенными переходами являются...
![]()

3.39. На рисунке схематически представлена система энергетических уровней атома водорода. Правилами отбор запрещены переходы... ![]()

3.40. Задана пси-функция ψ(x, y, x) частицы. Вероятность того, что частица будет обнаружена в объеме V, определяется выражением..
3.11. Время жизни атома в возбужденном состоянии т = 10нс. Учитывая, что постоянная Планка ћ = 6,6 * 10-16 эВ*с, ширина энергетического уровня (в эВ) составляет не менее...
3.2. Два источника излучают свет с длинами волн 375 нм и 750 нм. Отношение им пульсов фотонов p1 / p2 равно..
3.3. Если протон и нейтрон двигаются с одинаковыми скоростями, то отношения их длин волн де-Бройля λp/λn равно..
3.4. Если частицы имеют одинаковую длину волны де-Бройля, то наименьшей скоростью обладает..
3.5. Если длина волны де-Бройля частиц одинакова, то наибольшей скоростью обладает..
3.6. Электрон локализован в пределах Δx = 1,0 мкм. Учитывая, что постоянная Планка h = 1,05*10-34 Дж*с, а масса электрона m = 9,1 * 10-31 кг, неопределенность скорости ΔVx (в м/с) равна..
3.7. Согласно принципу неопределенности облако свободного электрона, первоначально локализованное в области диаметром 10-10 м, за тысячную долю секунды расплывется до размера . Принять ћ ≈ 10-34 Дж*с, mе = 9*10-31кг.
3.8. Облако свободного электрона первоначально имеет размер атома 10-10 м. Электронное облако расплывается до размеров футбольного мяча (0,1м) за время порядка... Принять ћ ≈ 10-34 Дж*с, mе = 9*10-31кг
3.9. Протон локализован в пределах Δx = 1,О мкм. Учитывая, что постоянная Планка ћ = 1,05 * 10-34 Дж*с, масса протона m = 1,67 * 10-27 кг, неопределенность скорости ΔVx (в м/с) равна...
3.10. Положение пылинки массой m = 10-9 кг можно установить с неопределенностью Δx = 1,О мкм. Учитывая, что постоянная Планка ћ = 1,05 * 10-34 Дж*с, неопределенность скорости ΔVx (в м/с) будет не менее...
3.1. Групповая скорость волны де-Бройля..
3.12. Время жизни возбужденного состояния молекулы равно 10-6с. Согласно принципу неопределенности диапазон частот, излучаемых молекулой при радиационном распаде этого состояния, составляет...
3.13. Интервал частот, излучаемых атомом при радиационном распаде его возбужденного состояния, составляет 100 кГц. Согласно принципу неопределенности время жизни атома в этом состоянии...
3.14. Время излучения фотона атомом — 10-8 с. Интервал частот, которые излучает атом, равен...
3.15. Стационарным уравнением Шредингера для частицы в трехмерной потенциальной «яме» с бесконечно высокими стенками является...
3.16. Волновая функция частицы в потенциальной «яме» с бесконечно высокими стенками шириной L имеет вид
Величина импульса этой частицы в основном состоянии равна:

3.17. Установите соответствие уравнений Шредингера их физическому смыслу: ![]()

3.18. Волновая функция стенками частицы в потенциальной «яме» с бесконечно высокими стенками шириной L имеет вид
Если величина импульса этой частицы равна 3ћπ/L, то длина волны де Бройля равна..

3.19. Вероятность обнаружить частицу на участке (а,Ь) одномерной потенциальной «ямы» с бесконечно высокими стенками вычисляется по формуле
где — ω плотность вероятности, определяемая ψ - функцией. Если ψ - функция имеет вид, указанный на рисунке, то вероятность обнаружить частицу на участке 3/8L < х < L равна. ..
![]()


3.20. Вероятность обнаружить частицу на участке (а,Ь) одномерной потенциальной «ямы» с бесконечно высокими стенками вычисляется по формуле
где — ω плотность вероятности, определяемая ψ - функцией. Если ψ - функция имеет вид, указанный на рисунке, то вероятность обнаружить частицу на участке L/6 < х < L/2 равна. ..
![]()


Характеристики ответов (шпаргалок) к КР
Тип
Коллекция: Ответы (шпаргалки) к контрольной работе
Предмет
Учебное заведение
Семестр
Номер задания
Просмотров
6
Качество
Идеальное компьютерное
Количество вопросов

🎓Помощь студентам Ивановских ВУЗов🎓 ❤️ Каждая приобретенная работа служит стимулом для добавления новых материалов и упрощает учебный процесс.